Intégration
Réponses à toutes vos questions après le Bac (Fac, Prépa, etc.)
-
hsazerty2
- Messages: 6
- Enregistré le: 30 Mai 2017, 23:35
-
par hsazerty2 » 24 Aoû 2017, 16:11
Bonjour,
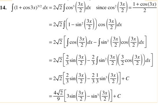
je suis entrain de lire un livre d'analyse, dans le chapitre sur l'intégration, on demande de calculer l'intégrale de la fonction :
(1+cos(3*x))^(3/2) ?
Ci joint la solution donnée dans le livre, mais j'ai des doutes sur sa justesse.
quelqu'un pourrait confirmer ?
Merci.
- Fichiers joints
-

- Sans titre.jpg (45.2 Kio) Vu 524 fois
-
Razes
- Membre Rationnel
- Messages: 964
- Enregistré le: 28 Juil 2014, 19:24
-
par Razes » 24 Aoû 2017, 16:31
Bonjour,
Le calcul est bon, j'ai juste une remarque concernant ce passage:
\right )^{\frac{3}{2}}=2\cos^3\left (\dfrac{3x}{2} \right ))
N'y aurait pas une condition pour enlever la racine carrée?
-
MJoe
- Membre Relatif
- Messages: 295
- Enregistré le: 19 Juil 2017, 06:26
- Localisation: Saint-Nazaire
-
par MJoe » 24 Aoû 2017, 16:38
Bonjour,
Pour passer de la ligne 1 à la ligne 2, il a été considéré que
)
était positif, sinon il faut distinguer les cas (car

dans le cas général).
Donc pour moi la primitive est bonne seulement sur les intervalles où
)
est positif ou nul.
Donc :

à

près c'est-à-dire, pour

fixé :

J'ai entouré sur le graphique là ou la primitive est juste :

MJoe

-
hsazerty2
- Messages: 6
- Enregistré le: 30 Mai 2017, 23:35
-
par hsazerty2 » 24 Aoû 2017, 16:55
Merci MJoe,
Donc l'intégrale trouvée dans le livre (qu'on désigne par g(x)) est correcte seulement dans certains intervalles, dans les autres c'est -g(x).
ce qui me dérange c'est que dans le cas général, l'intégrale n'est pas continue, non ?
-
Razes
- Membre Rationnel
- Messages: 964
- Enregistré le: 28 Juil 2014, 19:24
-
par Razes » 24 Aoû 2017, 17:25
Rebonjour,
Ton calcul est correct comme je l'avais confirmé sauf qu'il fallait étudier pour quelle intervalles et dans quelles condition on enlève la racine carrée, je t'avais posé la question pour que tu puisses cogiter, mais
MJoe a répondu à ta place.
hsazerty2 a écrit:ce qui me dérange c'est que dans le cas général, l'intégrale n'est pas continue, non ?
Tout à fait. Mais tu peux choisir ta primitive par intervalle et choisir dans chaque intervalle une constante pour assurer la continuité. Mais dans notre cas, c'est à vérifier si c'est demandé.
-
hsazerty2
- Messages: 6
- Enregistré le: 30 Mai 2017, 23:35
-
par hsazerty2 » 24 Aoû 2017, 19:34
Merci à tous pour vos réponses claires ! grâce à vous je comprends un peu mieux.
-
MJoe
- Membre Relatif
- Messages: 295
- Enregistré le: 19 Juil 2017, 06:26
- Localisation: Saint-Nazaire
-
par MJoe » 25 Aoû 2017, 17:36
Bonjour à tous,
Mes excuses @Razes, je n'avais pas vu que tu voulais faire cogiter notre ami.
D'après l'extrait du bouquin, je pense que le corrigé ne se soucie pas des intervalles.
Effectivement pour l'intervalle

et les intervalles

, il faut considérer
)
pour la primitive (sur votre livre et -F(x) sur la figure ci-avant).
MJoe.
-
Razes
- Membre Rationnel
- Messages: 964
- Enregistré le: 28 Juil 2014, 19:24
-
par Razes » 25 Aoû 2017, 22:31
Bonsoir MJoe,
Pas de soucis, ce sont des choses qui arrivent.
Utilisateurs parcourant ce forum : Aucun utilisateur enregistré et 20 invités