Calcul d'une differentielle.
Réponses à toutes vos questions après le Bac (Fac, Prépa, etc.)
-
youssef ELM
- Messages: 5
- Enregistré le: 16 Juin 2016, 22:37
-
par youssef ELM » 30 Juin 2016, 16:13
Bonjour!
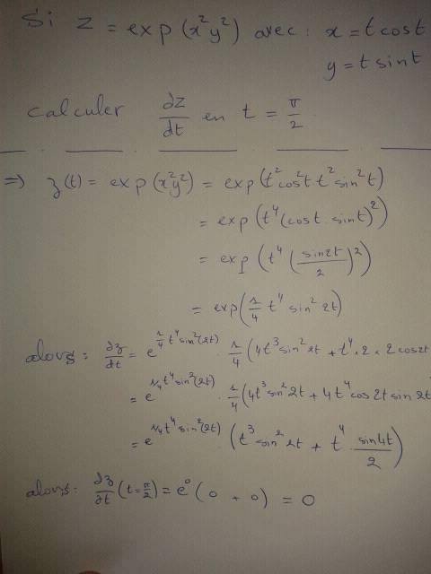
s'il vous plait que pensez-vous à ma réponse ??
(j'utilise les photos car l'ecriture sur ordinateur prend beaucoup de temps)merci d'avance!

-
CBMaths_prof
- Membre Naturel
- Messages: 66
- Enregistré le: 01 Juil 2015, 18:37
- Localisation: Nord (59)
-
par CBMaths_prof » 30 Juin 2016, 16:26
Bonsoir Youssef,
Ta réponse est correcte

-
youssef ELM
- Messages: 5
- Enregistré le: 16 Juin 2016, 22:37
-
par youssef ELM » 30 Juin 2016, 16:30
CBMaths_prof a écrit:Bonsoir Youssef,
Ta réponse est correcte


merci monsieur.
Utilisateurs parcourant ce forum : Aucun utilisateur enregistré et 45 invités