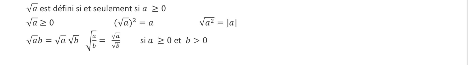
Bonjour
en réalité quand tu écris

tu ne connais pas le signe de

, or le résultat d'une racine carrée par définition, c'est le nombre positif qui ....etc
exemple

mais 9 c'est

ou
^2)
et

alors que
^2}=3=|-3|)
donc

et ensuite suivant le cas tu étudies le signe de

pour enlever ta racine carrée
autre exemple
^2}=|x-1|)
OK ?
alors que quand tu écris
^2)
, déjà tu sais que la quantité

est positive, sinon, tu n'aurais pas écrit sa racine carrée et , par définition d'un carré c'est le résultat du produit de

par lui même, soit
^2=\sqrt a \times \sqrt a = a)