Exercice :
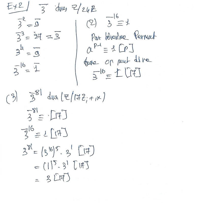
1) Calculer 3^{n} pour tout entier natuel n dans (Z/24Z,+,\times)
2) Montrer que, dans (Z/17Z,+,\times) = 3^{16} \equiv 1
3) Calculer 3^{81} dans (Z/17Z,+,\times)
si vous ne vouyez pas bien je met le lien comme ça :
--------------------------------------------------------------
La réponse que j'ai trouvé :
1) 3^{n} dans (Z/24Z,+,\times)
3^{2} = 9
3^{3} = 27 = 3
3^{4} = 9
3^{16} = 1
2) 3^{16} \equiv 1
sachant que le théorem de fermat qui dit a^{p-1} \equiv 1 [p]
donc on peut dire 3^{16} \equiv 1 [17]
3) dans (Z/17Z,+,\times)
3^{81} = [17]
on sait que 3^{16} \equiv 1 [17]
donc 3^{81} = (3^{16})^{5} . 3 ^{1} [17]
=(1)^5 . 3 [17] = 3 [17]
Si vous ne voyez pas je met le lien comme ça pour mieux comprends la réponse ce que j'ai trouvé :
