Bonjour, Bonsoir
Je viens à vous afin d'avoir si possible de l'aide sur des exercices sur les vecteurs et les nombres complexes.
Je vous transmet ci-joint les exercices que j'ai essayer de faire.
Page 1 : https://zupimages.net/viewer.php?id=21/36/0m6g.png
Page 2: https://zupimages.net/viewer.php?id=21/36/7u7l.png
Page 3: https://zupimages.net/viewer.php?id=21/36/csxi.png
Page 4: https://zupimages.net/viewer.php?id=21/36/0df2.png
Page 5: https://zupimages.net/viewer.php?id=21/36/qq9s.png
Cordialement,
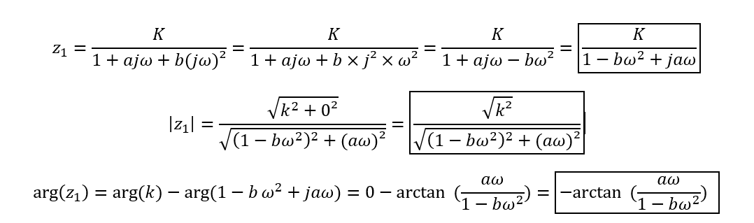
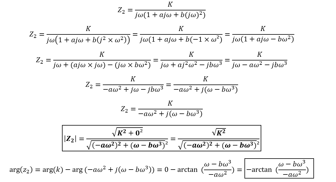
PS: Je bloque surtout sur le dernier exercice afin d'obtenir les formes algébriques des complexes données. Néanmoins,






