Question base suite périodiques complexes

Réponses à toutes vos questions après le Bac (Fac, Prépa, etc.)
Abilys38
Membre Relatif
Messages: 308
Enregistré le: 04 Jan 2008, 18:17

Question base suite périodiques complexes

par Abilys38 » 17 Déc 2016, 23:12

Bonsoir,

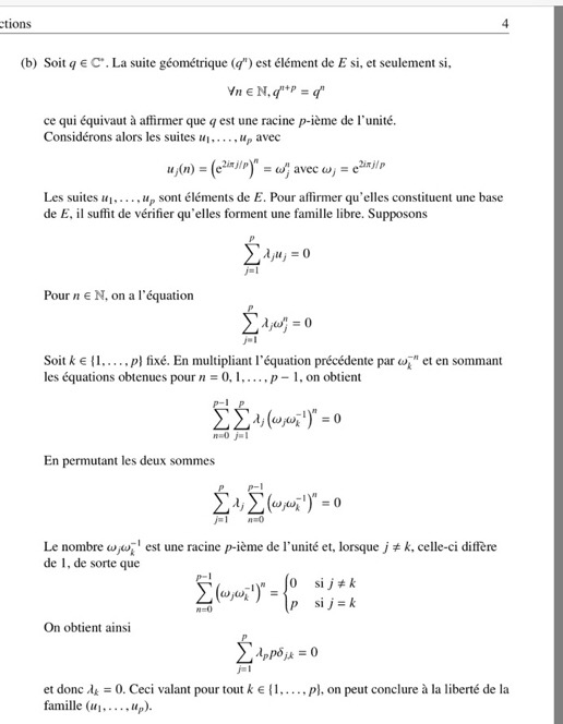
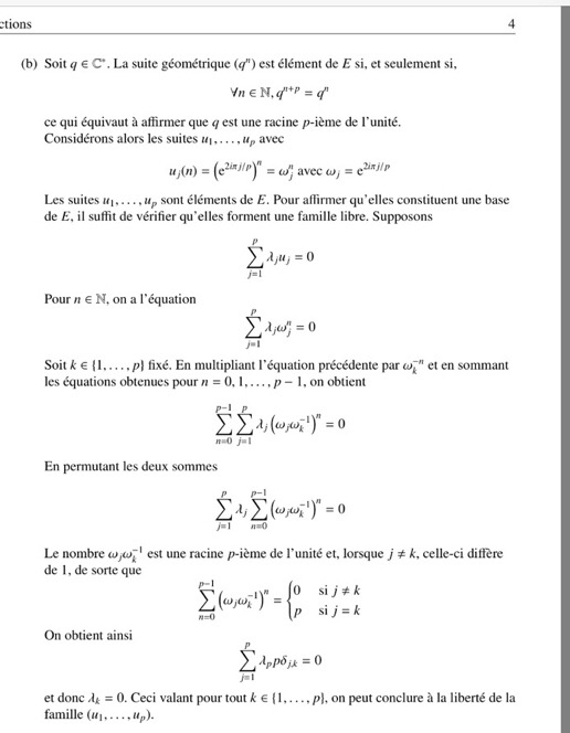
Je n'arrive pas à comprendre la fin de la correction de la question b.
Est ce que quelqu'un pourrait m'expliquer? (Le moment où ils multiplient par w_k^(-n) )
Je comprend pas pourquoi ça fait 0 si j différent de k.

Merci beaucoup !!
Bonne soirée
Fichiers joints
image.jpeg
image.jpeg (66.87 Kio) Vu 3123 fois
image.jpeg
image.jpeg (33.45 Kio) Vu 3123 fois



Avatar de l’utilisateur
Lostounet
Membre Légendaire
Messages: 9665
Enregistré le: 16 Mai 2009, 11:00

Re: Question base suite périodiques complexes

par Lostounet » 17 Déc 2016, 23:24

Salut,
C'est une somme d'éléments d'une suite géométrique car si j différent de k la raison est différente de 1. Donc tu as la somme de termes d'une suite de raison q = w_j*w_k^(-1).
dont la somme est (1 - q^p)/(1 - q) mais on sait aussi que q^p = 1 car c'est une racine p-ieme de l'unité donc on a bien (1-1)/(1 - q) = 0 si j différent de k.

Si j = k, on a w_j*w_j^(-1) = 1 donc on somme p termes valant 1 chacun, donc cela vaut bien p

Cela répond-il à ta question?
Merci de ne pas m'envoyer de messages privés pour répondre à des questions mathématiques ou pour supprimer votre compte.

Abilys38
Membre Relatif
Messages: 308
Enregistré le: 04 Jan 2008, 18:17

Re: Question base suite périodiques complexes

par Abilys38 » 18 Déc 2016, 08:05

Oui merci beaucoup !!

Abilys38
Membre Relatif
Messages: 308
Enregistré le: 04 Jan 2008, 18:17

Re: Question base suite périodiques complexes

par Abilys38 » 18 Déc 2016, 20:48

Désolé, j'en profite pour poser une autre question.
Pour la question a, je comprend bien l'idée d'utiliser l'indice de Kronekeur pour la base. Le seul "détail" que je ne comprend pas, c'est que j'ai toujours pensé qu'une suite quelconque est une famille des termes U0, U1, ... Un.
Or, ici, à la fin de la correction, on nous présente une suite u comme la somme de tous ses éléments. Est ce normal??


Merci !!
Fichiers joints
image.jpeg
image.jpeg (29.25 Kio) Vu 3068 fois
image.jpeg
image.jpeg (31.29 Kio) Vu 3068 fois

Avatar de l’utilisateur
Lostounet
Membre Légendaire
Messages: 9665
Enregistré le: 16 Mai 2009, 11:00

Re: Question base suite périodiques complexes

par Lostounet » 18 Déc 2016, 21:14

Salut,

Le fait qu'une suite est une famille de nombre indexée par N n'as pas changé et ici il ne faut pas croire qu'on écrit une suite comme somme de ses éléments.

Ce que traduit cet exercice, c'est que tu as un espace de suites p périodiques et que cet espace est un espace de suites, de dimension p (comme tu l'as prouvé). Or si tu as par exemple un vecteur de R^3 tu peux toujours l'écrire comme combinaison linéaire d'une base de R^3.

De la même manière qu'une base de R^3 est faite de 3 vecteurs, une base de l'espace de suites E est formée de p suites: la somme que tu vois apparaitre n'est pas une somme de nombres Un mais une combinaison linéaire de suites (ei). Tu n'as besoin que de connaitre les p u(i) premiers termes de ta suite pour former toute la suite.
Merci de ne pas m'envoyer de messages privés pour répondre à des questions mathématiques ou pour supprimer votre compte.

Abilys38
Membre Relatif
Messages: 308
Enregistré le: 04 Jan 2008, 18:17

Re: Question base suite périodiques complexes

par Abilys38 » 18 Déc 2016, 21:54

Ok merci. En fait j'ai pourtant bien compris l'idée mais j'ai du mal à m'imaginer définir une suite tel qu'ils l'ont fait à la fin de l'exercice. Ca m'a perturbé :/

Mais là ça commence à être plus clair dans ma tête !!
Merci encore

Avatar de l’utilisateur
Lostounet
Membre Légendaire
Messages: 9665
Enregistré le: 16 Mai 2009, 11:00

Re: Question base suite périodiques complexes

par Lostounet » 18 Déc 2016, 21:59

Si tu as une suite p=4 périodique:
u = (3; 4; 5; 6; 3; 4; 5; 6.........)

Alors ce qu'ils te disent c'est que:
u = 3.(1;0;0;0;1;0;0;0;1........) + 4.(0; 1; 0; 0; 0; 1;0.....) + 5(0;0;1;0;0;0;1;0;0;0;1...) + 6(0;0;0;1;0;0;0;1...)

On a une combinaison linéaire de suites (ei) avec comme coefficient u(0) = 3, u(1)=4, u(2)=5 et u(3)=6
C'est pourtant intuitif ! Tu décomposes la suite selon une base.

Dans R^2, tu as le vecteur (5;6) = 5(1;0) + 6(0;1) on a bien une décomposition intuitive du vecteur aussi
Merci de ne pas m'envoyer de messages privés pour répondre à des questions mathématiques ou pour supprimer votre compte.

Abilys38
Membre Relatif
Messages: 308
Enregistré le: 04 Jan 2008, 18:17

Re: Question base suite périodiques complexes

par Abilys38 » 18 Déc 2016, 22:00

Ok merci c'est bien clair maintenant !!

Abilys38
Membre Relatif
Messages: 308
Enregistré le: 04 Jan 2008, 18:17

Re: Question base suite périodiques complexes

par Abilys38 » 19 Déc 2016, 22:00

Bonsoir,
J'ai une question non liée aux précédentes, mais je n'ose pas ouvrir un sujet pour une question aussi simple.

On me demande de démontrer que si F et G sont deux sev d'un ev E fini de dimensions égales, F et G admettent un supplémentaire commun.

La question est déjà tendu, mais je ne peux même pas concevoir un supplémentaire commun, car pour moi, cela signifierait que F = G. Comment deux sev avec au moins un élément de différences peuvent ils avoir un supplémentaire égal?

Posons a appartient à F et non a G. Alors le supplémentaire de G contiendra a, mais pas le supplémentaire de F.

Merci d'avance pour votre réponse.
Heureusement que ce forum existe...

Pseuda
Habitué(e)
Messages: 3222
Enregistré le: 08 Avr 2015, 12:44

Re: Question base suite périodiques complexes

par Pseuda » 19 Déc 2016, 22:09

Bonsoir,

Pour t'aider, un ss-ev peut avoir plusieurs ss-ev supplémentaires.

Imagine un plan vectoriel dans un espace vectoriel de dimension 3. Toutes les droites vectorielles non incluses dans ce plan sont un ss-ev supplémentaire à ce plan.

Donc si on le prend dans l'autre sens, toutes ces droites vectorielles ont un ss-ev supplémentaire commun, le plan vectoriel de départ.

Ne pas confondre un ss-ev supplémentaire dans un ev, avec le complémentaire d'un sous-ensemble (partie) dans un ensemble, qui lui est unique.

Abilys38
Membre Relatif
Messages: 308
Enregistré le: 04 Jan 2008, 18:17

Re: Question base suite périodiques complexes

par Abilys38 » 19 Déc 2016, 22:19

Bonsoir,
Merci pour ton aide. Mais, dans l'exemple que tu donnes, cest l'ensemble des droites qui a pour supplémentaire le plan, et non une des droites?
Effectivement, ,chaque droite est unique, mais l'ensemble de ces droites est bien un seul ensemble. Je sais pas si je m'explique clairement ?
Si je prend une seule de ces droites, le supplémentaire sera le plan + le reste des droites, non ?

Édit: je sens que je confond bel et bien supplémentaire et complémentaire ...

Pseuda
Habitué(e)
Messages: 3222
Enregistré le: 08 Avr 2015, 12:44

Re: Question base suite périodiques complexes

par Pseuda » 19 Déc 2016, 22:39

C'est chaque droite qui a pour supplémentaire le plan. Comme c'est réciproque, on peut dire aussi que le plan a pour supplémentaire chaque droite (toute droite non incluse dans le plan).

Complémentaires (pour n'importe quel type d'ensembles) : les deux ensembles ont une intersection vide et leur réunion fait l'ensemble tout entier.
Supplémentaires (pour des espaces vectoriels seulement) : on peut recréer l'espace vectoriel tout entier à partir de combinaisons linéaires des vecteurs des ss-ev supplémentaires (<> de leur union, qui n'est pas un ss-ev), et leur intersection n'est pas vide (ils ont {0} en commun).

Avatar de l’utilisateur
Lostounet
Membre Légendaire
Messages: 9665
Enregistré le: 16 Mai 2009, 11:00

Re: Question base suite périodiques complexes

par Lostounet » 19 Déc 2016, 22:42

Abilys38 a écrit:Bonsoir,
Merci pour ton aide. Mais, dans l'exemple que tu donnes, cest l'ensemble des droites qui a pour supplémentaire le plan, et non une des droites?
Effectivement, ,chaque droite est unique, mais l'ensemble de ces droites est bien un seul ensemble. Je sais pas si je m'explique clairement ?
Si je prend une seule de ces droites, le supplémentaire sera le plan + le reste des droites, non ?

Édit: je sens que je confond bel et bien supplémentaire et complémentaire ...


Hello,

Pour ne plus confondre complémentaire et supplémentaire, il faut que tu te dises qu'un sous-espace vectoriel contient le vecteur nul obligatoirement.
Si tu prends le complémentaire de ce sous-espace vectoriel dans l'espace vectoriel initial, tu n'obtiens jamais un sous-espace vectoriel (vu que tu prends tout sauf le vecteur nul...qui est indispensable pour que ce soit un sous-espace vectoriel !)

Pour simplifier la notion de supplémentaire, place-toi dans R^3 (axes x, y , z) et considère le plan vectoriel (x;y). On a l'axe (z) qui est une droite vectorielle (passant par 0), qui est un supplémentaire de ce plan.
Mais n'importe quelle autre droite "qui monte" (non totalement incluse dans le plan (x;y) en passant par 0 fait aussi l'affaire et est un supplémentaire de ce sous-espace.

L'idée est qu'un supplémentaire permet de "reconstituer" R^3 tout entier: la droite "qui monte" rajoute l'information qui manque au plan (x;y) pour obtenir R^3. Grace a l'information fournie par cette droite, nous sommes en mesure d'exprimer tout vecteur de R^3 comme somme de vecteur de (x;y) et d'un autre de (z) (ou d'une autre droite montante)

Attention, mon poste manque cruellement de rigueur :p
Merci de ne pas m'envoyer de messages privés pour répondre à des questions mathématiques ou pour supprimer votre compte.

Abilys38
Membre Relatif
Messages: 308
Enregistré le: 04 Jan 2008, 18:17

Re: Question base suite périodiques complexes

par Abilys38 » 20 Déc 2016, 06:46

Merci pour vos explications !!
J'ai bien cerné la différence. Même si j'avoue que je suis en incapacité à me convaincre qu'une seule droite de l'axe z suffit à compléter à 100% R^3... (Car par contre, les combinaisons linéaires de la droite doivent ensemble compléter toute la dimension z n'est ce pas?
Mon gros problème actuel est d'être incapable de schématiser les e.v.

En tout cas j'ai trouvé une solution à l'exercice (avec des indications je l'avoue :) )
j'imagine que c'est un résultat important !!

Abilys38
Membre Relatif
Messages: 308
Enregistré le: 04 Jan 2008, 18:17

Re: Question base suite périodiques complexes

par Abilys38 » 20 Déc 2016, 18:52

Concernant la solution de l'exercice:
J'ai trouvé une solution sur un site, mais j'ai des doutes sur la solution:
http://perso.univ-lr.fr/fvincent/exo-esp.vect(fran).pdf (voir exercice 8 puis solution).

Mes deux doutes:
Ils parent de l'hypothèse que F inter G n'est pas égal à l'élément nul.
Ils supposent que la base de F+G ne suffit pas à former une base de E.

Pouvez vous me donner votre avis?
Merci !!

lien modifié par Lostounet

Pseuda
Habitué(e)
Messages: 3222
Enregistré le: 08 Avr 2015, 12:44

Re: Question base suite périodiques complexes

par Pseuda » 20 Déc 2016, 19:45

Le lien ne fonctionne pas.

Avatar de l’utilisateur
Lostounet
Membre Légendaire
Messages: 9665
Enregistré le: 16 Mai 2009, 11:00

Re: Question base suite périodiques complexes

par Lostounet » 20 Déc 2016, 19:48

J'ai rectifié le lien pour qu'il fonctionne !
Merci de ne pas m'envoyer de messages privés pour répondre à des questions mathématiques ou pour supprimer votre compte.

Abilys38
Membre Relatif
Messages: 308
Enregistré le: 04 Jan 2008, 18:17

Re: Question base suite périodiques complexes

par Abilys38 » 20 Déc 2016, 19:48

Plus rapide que moi :) merci

J'ai ensuite testé la solution avec des hypothèses de départ differentes (f inter g = ensemble nul), et effectivement la solution marche tout de même. Mais je trouve ça étrange qu'ils l'aient supposé comme acquis.

Avatar de l’utilisateur
Lostounet
Membre Légendaire
Messages: 9665
Enregistré le: 16 Mai 2009, 11:00

Re: Question base suite périodiques complexes

par Lostounet » 20 Déc 2016, 20:37

Il me semble qu'ici ils traitent le cas général: l'intersection de deux sous-espaces vectoriels n'est pas toujours vide (deux plans vectoriels se coupent en une droite par exemple).
Si l'intersection se réduit au singleton vecteur nul, c'est tant mieux non? C'est un cas particulier.
Merci de ne pas m'envoyer de messages privés pour répondre à des questions mathématiques ou pour supprimer votre compte.

 

Retourner vers ✯✎ Supérieur

Qui est en ligne

Utilisateurs parcourant ce forum : Aucun utilisateur enregistré et 44 invités

Tu pars déja ?



Fais toi aider gratuitement sur Maths-forum !

Créé un compte en 1 minute et pose ta question dans le forum ;-)
Inscription gratuite

Identification

Pas encore inscrit ?

Ou identifiez-vous :

Inscription gratuite