Devoir maison sur le second degré

Réponses à toutes vos questions de la 2nde à la Terminale toutes séries
Louise94
Membre Naturel
Messages: 14
Enregistré le: 18 Oct 2016, 19:32

Devoir maison sur le second degré

par Louise94 » 18 Oct 2016, 19:46

Bonjour,
J'ai un devoir maison à rendre pour la rentré:
Résoudre (x+2/2x-1) au carré +(x+2)/(2x-1)=3/4

Je sais comment calculer delta et ses solution, en mettant cette équation égal à 0 mais je n'arrive pas à mettre les fractions sur le même dénominateur en une seule fraction, j'obtiens des x au cube ce que je n'ai jamais appris à résoudre.
Merci de bien vouloir m'aider



Avatar de l’utilisateur
laetidom
Habitué(e)
Messages: 5720
Enregistré le: 16 Déc 2013, 16:15

Re: Devoir maison sur le second degré

par laetidom » 18 Oct 2016, 19:52

Bonsoir,

Une idée, je la vérifie en même temps . . . faire un changement de variable :

donne

. . .

exact, c'est la bonne méthode, pour info on trouve {- }, je te laisse faire les calculs et retrouver cette valeur :

ii9580.JPG
ii9580.JPG (13.23 Kio) Vu 1146 fois
Modifié en dernier par laetidom le 18 Oct 2016, 20:40, modifié 2 fois.

Avatar de l’utilisateur
Ben314
Le Ben
Messages: 21709
Enregistré le: 11 Nov 2009, 21:53

Re: Devoir maison sur le second degré

par Ben314 » 18 Oct 2016, 20:03

Salut,
Ca risque éventuellement d'être un peu plus long que ce que préconise laetidom (et encore..., c'est à voir), mais tu peut aussi y aller "à la bourrin" en retranchant 3/4 des 2 cotés puis en réduisant au même dénominateur (qui est (2x-1)^2) puis en utilisant le fait qu'une fraction est nulle ssi son numérateur est non nul (et que son dénominateur est non nul).
Ca te donne aussi une équation du second degré.
Qui n'entend qu'un son n'entend qu'une sonnerie. Signé : Sonfucius

Louise94
Membre Naturel
Messages: 14
Enregistré le: 18 Oct 2016, 19:32

Re: Devoir maison sur le second degré

par Louise94 » 18 Oct 2016, 21:05

Je te remercie j'ai essayé et je ne trouve pas la solution j'ai du faire des erreurs de calcul mais ca m'a beaucoup aider.

Avatar de l’utilisateur
laetidom
Habitué(e)
Messages: 5720
Enregistré le: 16 Déc 2013, 16:15

Re: Devoir maison sur le second degré

par laetidom » 18 Oct 2016, 21:42

Louise94 a écrit:Je te remercie j'ai essayé et je ne trouve pas la solution j'ai du faire des erreurs de calcul mais ca m'a beaucoup aider.



On est content de t'avoir mis sur la voix ! Refaire les calculs et ça va venir !

Vérification :

+

Louise94
Membre Naturel
Messages: 14
Enregistré le: 18 Oct 2016, 19:32

Re: Devoir maison sur le second degré

par Louise94 » 21 Oct 2016, 18:35

Ça fait maintenant quelque jours que je cherche a résoudre ce devoir maison et je n'arrive toujours pas à trouver le bon résultat. Pourais je avoir plus d'aide s'il vous plaît ?

Avatar de l’utilisateur
laetidom
Habitué(e)
Messages: 5720
Enregistré le: 16 Déc 2013, 16:15

Re: Devoir maison sur le second degré

par laetidom » 21 Oct 2016, 18:58

Louise94 a écrit:Ça fait maintenant quelque jours que je cherche a résoudre ce devoir maison et je n'arrive toujours pas à trouver le bon résultat. Pourais je avoir plus d'aide s'il vous plaît ?



Bonsoir Louise,

Je te décompose le calcul :



Soit donne

tu as dis que tu connaissais ok,

donc

et
Modifié en dernier par laetidom le 21 Oct 2016, 19:51, modifié 1 fois.

Louise94
Membre Naturel
Messages: 14
Enregistré le: 18 Oct 2016, 19:32

Re: Devoir maison sur le second degré

par Louise94 » 21 Oct 2016, 19:34

Bonsoir, j'ai également trouvée ces résultat mais malheureusement si l'on rempalce x dans le calcul ces résultats ne fonctionne pas.

Avatar de l’utilisateur
laetidom
Habitué(e)
Messages: 5720
Enregistré le: 16 Déc 2013, 16:15

Re: Devoir maison sur le second degré

par laetidom » 21 Oct 2016, 19:49

Louise94 a écrit:Bonsoir, j'ai également trouvée ces résultat mais malheureusement si l'on rempalce x dans le calcul ces résultats ne fonctionne pas.



=====>



et ===> 4 = - 1 (pas possible) ====>
Modifié en dernier par laetidom le 21 Oct 2016, 19:51, modifié 1 fois.

Louise94
Membre Naturel
Messages: 14
Enregistré le: 18 Oct 2016, 19:32

Re: Devoir maison sur le second degré

par Louise94 » 21 Oct 2016, 19:51

Merci beaucoup je ne comprend pas pourquoi en partant de x=-3/2 je retrouvais x=-3/2.

Avatar de l’utilisateur
laetidom
Habitué(e)
Messages: 5720
Enregistré le: 16 Déc 2013, 16:15

Re: Devoir maison sur le second degré

par laetidom » 21 Oct 2016, 19:53

Louise94 a écrit:Merci beaucoup je ne comprend pas pourquoi en partant de x=-3/2 je retrouvais x=-3/2.





2x + 4 = - 6x + 3

8x = - 1




Retrouves-tu ce résultat ?

Louise94
Membre Naturel
Messages: 14
Enregistré le: 18 Oct 2016, 19:32

Re: Devoir maison sur le second degré

par Louise94 » 21 Oct 2016, 21:02

Je trouve bien ce résultat et si j'ai bien compris on multiplie -3 avec 2x-1, et 2 avec x+2 car divisé reviens à multiplié par son inverse.

Avatar de l’utilisateur
laetidom
Habitué(e)
Messages: 5720
Enregistré le: 16 Déc 2013, 16:15

Re: Devoir maison sur le second degré

par laetidom » 22 Oct 2016, 10:56

Louise94 a écrit:Je trouve bien ce résultat et si j'ai bien compris on multiplie -3 avec 2x-1, et 2 avec x+2 car divisé reviens à multiplié par son inverse.



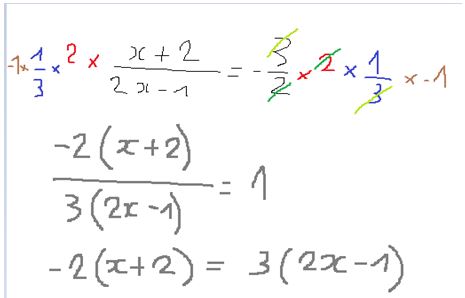
Bonjour Louise,

En fait pour aller vite, c'est ce que j'ai fait, ça s'appelle le produit en croix
ii95893JPG.JPG
ii95893JPG.JPG (11.98 Kio) Vu 1048 fois
mais qui en fait s'obtient de la manière suivante :
iii95896JPG.JPG
iii95896JPG.JPG (11.51 Kio) Vu 1040 fois
,

dans notre cas ça donnerait donc ça :
ii95891JPG.JPG
ii95891JPG.JPG (21.67 Kio) Vu 1055 fois


Comprends-tu ? :

multiplier par une valeur de chaque côté de l'égalité ne change pas l'équation,

donc j'ai multiplié par 2 de chaque côté, ça "élimine" le dénominateur 2 de (-3/2) à droite du =,
j'ai multiplié par (1/3) de chaque côté, ça "élimine" le numérateur 3 restant de (-3/2) à droite du =,
j'ai multiplié par - 1 de chaque côté, ça "élimine" le - 1 à droite du =,

Louise94
Membre Naturel
Messages: 14
Enregistré le: 18 Oct 2016, 19:32

Re: Devoir maison sur le second degré

par Louise94 » 26 Oct 2016, 10:56

Merci beaucouo j'ai compris comment trouver le résultat.

Avatar de l’utilisateur
laetidom
Habitué(e)
Messages: 5720
Enregistré le: 16 Déc 2013, 16:15

Re: Devoir maison sur le second degré

par laetidom » 26 Oct 2016, 11:08

Louise94 a écrit:Merci beaucoup j'ai compris comment trouver le résultat.



Content d'avoir été utile ! @+ sur le forum Louise !

 

Retourner vers ✎✎ Lycée

Qui est en ligne

Utilisateurs parcourant ce forum : Aucun utilisateur enregistré et 43 invités

Tu pars déja ?



Fais toi aider gratuitement sur Maths-forum !

Créé un compte en 1 minute et pose ta question dans le forum ;-)
Inscription gratuite

Identification

Pas encore inscrit ?

Ou identifiez-vous :

Inscription gratuite