Je suis rentré en première S cette semaine , et mon professeur de maths est directement rentré dans le vif du sujet avec la démonstration de la forme canonique d'une fonction polynôme du second degré, même s'il nous a prévenu que ce n'était pas grave si l'on ne comprenait pour le moment, cela m'intéresse, donc j'ai mis le nez dedans. Cependant il y a quelque petite chose dans la démonstration que je saisi pas.
Voilà pour commencer la démonstration que l'on nous a donnée :
Donc juste deux "petites" choses :
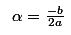
-Comment en arrive-t-on à ça : (comment on peut dire a la fin que alpha vaut ceci, on ne l'a pas prouvé, pareil pour beta) et
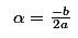
Et comment passe-t-on de :
à
Merci d'avance pour votre aide, parfois il s'agit de règle de base toute con que j'oublie et ça ne me saute pas au yeux...
