J'aurais besoin de votre aide pour vérifier de calcul de fonction dérivé.
Soit f la fonction définie par
Je sais que la formule de dérivée est
Après calcul j'obtiens
Je ne suis pas sur de mon calcul. De plus, Je ne vois pas quel syntaxe utilisé avec le dans la règle des signe pour le tableau de variation. Dois je écrire x = 9 ou x= -9 ?
J'ai une autre question, ca concerne un simplification de dérivation.
Soit g la fonction définie par
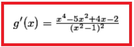
J'ai utilisé la même formule pour calculer la dérivée.
Le résultat est
Je ne suis pas du tous sur de mon calcul. Pourriez-vous le vérifier S.VP ?
Si, c'est correct, je pense qu'il faudrait la simplifier, j'ai pensé à faire.
Ce qui donnerais
Est-ce que c'es juste ?
A +
