Fonction
Réponses à toutes vos questions de la 2nde à la Terminale toutes séries
-
elpistolero
- Membre Naturel
- Messages: 21
- Enregistré le: 29 Déc 2016, 00:56
-
par elpistolero » 31 Déc 2016, 21:45
Mon encadrement est juste avec la vérification de ton graphe, je te remercie !
Deuxième question : Oui je me suis trompé, donc le C(x)=x.f(x) soit 450.x²-60x+975 ?
-
laetidom
- Habitué(e)
- Messages: 5720
- Enregistré le: 16 Déc 2013, 16:15
-
par laetidom » 01 Jan 2017, 12:57
Bonjour et Bonne Année 2017 @ tous ! ! !
elpistolero a écrit:Mon encadrement est juste avec la vérification de ton graphe, je te remercie ! ===> SUPERBE, comme quoi vérifier ses résultats quand on en a l'opportunité (et " magique ", les maths permettent cela !), ça a du bon !
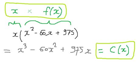
Deuxième question : Oui je me suis trompé, donc le C(x)=x.f(x) soit 450.x²-60x+975 ? =====> :

- Bonne Année @ tous ! .JPG (18.54 Kio) Vu 332 fois
-
elpistolero
- Membre Naturel
- Messages: 21
- Enregistré le: 29 Déc 2016, 00:56
-
par elpistolero » 01 Jan 2017, 18:38
Bonsoir laetidom,
Je vous souhaite à tous un excellent début d'année 2017,
C'est fous de pouvoir vérifiez ses résultats avec un graphe !
Exo 2) :
x.f(x)
On remplace f(x) par la fonction du coup x²-60x+975,
Pourquoi ne remplace t'on pas x par sa valeur aussi ? (450euros) ?
-
laetidom
- Habitué(e)
- Messages: 5720
- Enregistré le: 16 Déc 2013, 16:15
-
par laetidom » 01 Jan 2017, 19:06
elpistolero a écrit:Bonsoir laetidom,
Je vous souhaite à tous un excellent début d'année 2017,
C'est fou de pouvoir vérifiez ses résultats avec un graphe ! ====> Je trouve aussi !!!, mais malheureusement ça n'est pas du tout la méthode de l'enseignement, tu m'étonne !, il n'y aurait plus d'écrémage et trop de personnes comprendraient enfin ! . . .
Exo 2) :
x.f(x)
On remplace f(x) par la fonction du coup x²-60x+975,
Pourquoi ne remplace t'on pas x par sa valeur aussi ? (450euros) ?
x est un nombre de kilogrammes et une somme d'argent, je crois, non ?
-
elpistolero
- Membre Naturel
- Messages: 21
- Enregistré le: 29 Déc 2016, 00:56
-
par elpistolero » 01 Jan 2017, 19:46
x est le nombre de kg de truffes conditionnés et vendus c'est bien cela^^
-
laetidom
- Habitué(e)
- Messages: 5720
- Enregistré le: 16 Déc 2013, 16:15
-
par laetidom » 01 Jan 2017, 21:31
elpistolero a écrit:x est le nombre de kg de truffes conditionnés et vendus c'est bien cela^^
Je pense que

- Bonne Année @ tous ! .JPG (18.54 Kio) Vu 313 fois
répond au 1a) de ta deuxième question, non ? En précisant que Coût unitaire
fois nombre de kilos = Coût total
-
elpistolero
- Membre Naturel
- Messages: 21
- Enregistré le: 29 Déc 2016, 00:56
-
par elpistolero » 02 Jan 2017, 15:36
Non,non c'est bien cela, x.f(x) .
Merci pour tout en tout cas !
-
laetidom
- Habitué(e)
- Messages: 5720
- Enregistré le: 16 Déc 2013, 16:15
-
par laetidom » 02 Jan 2017, 21:05
elpistolero a écrit:Non,non c'est bien cela, x.f(x) .
Merci pour tout en tout cas !
Ce fût avec plaisir ! Content d'avoir été utile ! @+ sur le forum.
-
elpistolero
- Membre Naturel
- Messages: 21
- Enregistré le: 29 Déc 2016, 00:56
-
par elpistolero » 02 Jan 2017, 22:38
Je te remercie, et te souhaite une excellent bonne fin de soirée.
-
laetidom
- Habitué(e)
- Messages: 5720
- Enregistré le: 16 Déc 2013, 16:15
-
par laetidom » 02 Jan 2017, 22:40
elpistolero a écrit:Je te remercie, et te souhaite une excellent bonne fin de soirée.
Merci, à toi aussi !
Utilisateurs parcourant ce forum : Aucun utilisateur enregistré et 91 invités