Suite
Réponses à toutes vos questions après le Bac (Fac, Prépa, etc.)
-
adamNIDO
- Membre Rationnel
- Messages: 967
- Enregistré le: 22 Jan 2014, 00:47
-
par adamNIDO » 29 Juil 2016, 14:42
Bonjour,
y-a-t-il quelqu'un qui peut détailler ces calcules Merci d'avance
^{n}\sqrt{2\pi n})

- Untitled.jpg (11.03 Kio) Vu 431 fois
-
adamNIDO
- Membre Rationnel
- Messages: 967
- Enregistré le: 22 Jan 2014, 00:47
-
par adamNIDO » 29 Juil 2016, 19:44
Bonsoir,
quand est ce que cette série est convergente
Merci d'avance
-
samoufar
- Membre Relatif
- Messages: 401
- Enregistré le: 28 Mai 2016, 17:43
- Localisation: Palaiseau
-
par samoufar » 30 Juil 2016, 16:22
Bonjour,
Est-ce que tu disposes de la formule de Stirling ? Sinon la démonstration classique se fait à l'aide des intégrales de Wallis (un petit tour sur un moteur de recherche s'impose si tu veux en savoir plus

).
En tout cas essaies de transformer tes factorielles à l'aide de cette formule, en gardant en tête qu'il est possible de multiplier des équivalents (en l'occurence ici

si

).
Il suffit de l'écrire, ça marche tout seul

-
aymanemaysae
- Habitué(e)
- Messages: 1265
- Enregistré le: 06 Sep 2013, 14:21
-
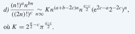
par aymanemaysae » 30 Juil 2016, 17:42
Bonjour;
On a
donc
^a n^{bn} \underset{n\rughtarrow+\infty}{\sim} (2\pi)^{\frac{a}{2}} n^{na+\frac{a}{2}+bn}e^{-na})
et
^c \underset{n\rughtarrow+\infty}{\sim} 2^c \pi^{\frac{^c}{2}} 2^{2nc} n^{(2n+\frac{a}{2})c}e^{-2nc})
donc
^a n^{bn}}{(2n!)^c} \underset{n\rughtarrow+\infty}{\sim} 2^{\frac{a}{2}-c} \pi^{\frac{a-c}{2}} 2^{-2nc} n^{na+\frac{a}{2}+bn-2nc-\frac{c}{2}} e^{-na+2nc})
.
donc
^a n^{bn}}{(2n!)^c} \underset{n\rughtarrow+\infty}{\sim} 2^{\frac{a}{2}-c} \pi^{\frac{a-c}{2}} n^{(a+b-2c)n} n^{\frac{a-c}{2}} (2^{-2c} e^{2c-a})^n)
donc
^a n^{bn}}{(2n!)^c} \underset{n\rughtarrow+\infty}{\sim} K n^{(a+b-2c)n} n^{\frac{a-c}{2}} (2^{-2c} e^{2c-a})^n)
Utilisateurs parcourant ce forum : Aucun utilisateur enregistré et 64 invités