Question factorisation
Réponses à toutes vos questions après le Bac (Fac, Prépa, etc.)
-
Abilys38
- Membre Relatif
- Messages: 308
- Enregistré le: 04 Jan 2008, 18:17
-
par Abilys38 » 29 Aoû 2016, 13:45

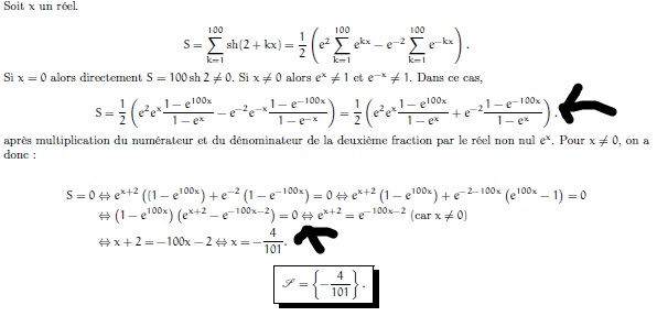
- question.jpg (45.61 Kio) Vu 178 fois
Bonjour,
pourriez vous m'expliquer les étapes que j'ai marqué dans la photo jointe?
Pour la première qui me pose problème, je parle du e(-x) qui disparait et un e(-x) qui devient e(x).
Pour la deuxieme plus bas, je ne comprend pas pourquoi deux des quatre termes disparaissent.
Merci ..
Bonne journée
-
samoufar
- Membre Relatif
- Messages: 401
- Enregistré le: 28 Mai 2016, 17:43
- Localisation: Palaiseau
-
par samoufar » 29 Aoû 2016, 13:54
Bonjour,
Pour la première, tu simplifies ton

en multipliant en haut et en bas par

(c'est ce qui justifie d'ailleurs le changement de signe dans la parenthèse).
Pour la deuxième, comme

, tu as

donc

. Donc c'est forcément l'autre terme qui vaut 0.
En espérant avoir pu t'aider

-
aymanemaysae
- Habitué(e)
- Messages: 1265
- Enregistré le: 06 Sep 2013, 14:21
-
par aymanemaysae » 29 Aoû 2016, 14:28
Bonjour,
}{e^x(1-e^{-x})} =e^{-2} \dfrac{e^{-x}e^x(1-e^{-100x})}{e^x- e^xe^{-x})})

Quant à
(e^{x+2}-e^{100x-2}) = 0 \Leftrightarrow 1-e^{100x} = 0)
ou

et comme

alors

.
-
Abilys38
- Membre Relatif
- Messages: 308
- Enregistré le: 04 Jan 2008, 18:17
-
par Abilys38 » 29 Aoû 2016, 15:01
Merci bien !
Par ailleurs, je me mord un peu les doigts sur les fonctions arcsin arccos arctan dés que les exos deviennent un peu compliqués. Est ce que vous connaitriez un cours trés complet sur les 3 fonctions réciproques???
Merci!
Utilisateurs parcourant ce forum : Aucun utilisateur enregistré et 19 invités