Integrale triple
Réponses à toutes vos questions après le Bac (Fac, Prépa, etc.)
-
makhtarg
- Messages: 9
- Enregistré le: 19 Sep 2017, 22:55
-
par makhtarg » 19 Sep 2017, 23:04
Bonsoir,
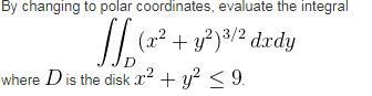
Pouvez vous m'aider à faire l'exo ci joint.
merci
- Fichiers joints
-

- int triple.PNG (4.64 Kio) Vu 222 fois
-
FLBP
- Habitué(e)
- Messages: 289
- Enregistré le: 25 Aoû 2017, 01:07
-
par FLBP » 20 Sep 2017, 05:01
Salut,
Si tu transformes en polaire, ça donne :

Cordialement.
-
Pisigma
- Habitué(e)
- Messages: 3134
- Enregistré le: 21 Déc 2014, 23:38
-
par Pisigma » 20 Sep 2017, 07:16
Bonjour,
je pense que le dénominateur est faux c'est 7 au lieu de 5
-
Ben314
- Le Ben
- Messages: 21709
- Enregistré le: 11 Nov 2009, 21:53
-
par Ben314 » 20 Sep 2017, 10:18
Salut,
... et le

aussi : si
)
et
)
alors

ça fait

et pas

.
Qui n'entend qu'un son n'entend qu'une sonnerie. Signé : Sonfucius
Utilisateurs parcourant ce forum : Aucun utilisateur enregistré et 51 invités