Exercice sur les intégrales généralisées.

Réponses à toutes vos questions après le Bac (Fac, Prépa, etc.)
celiine11
Membre Naturel
Messages: 41
Enregistré le: 01 Oct 2019, 20:57

Exercice sur les intégrales généralisées.

par celiine11 » 25 Nov 2020, 08:43

Bonjour, j'ai un petit soucis de compréhension au niveau d'une question sur un exercice sur les intégrales généralisées. Même avec le corrige, je ne comprend pas comment arriver au résultat.
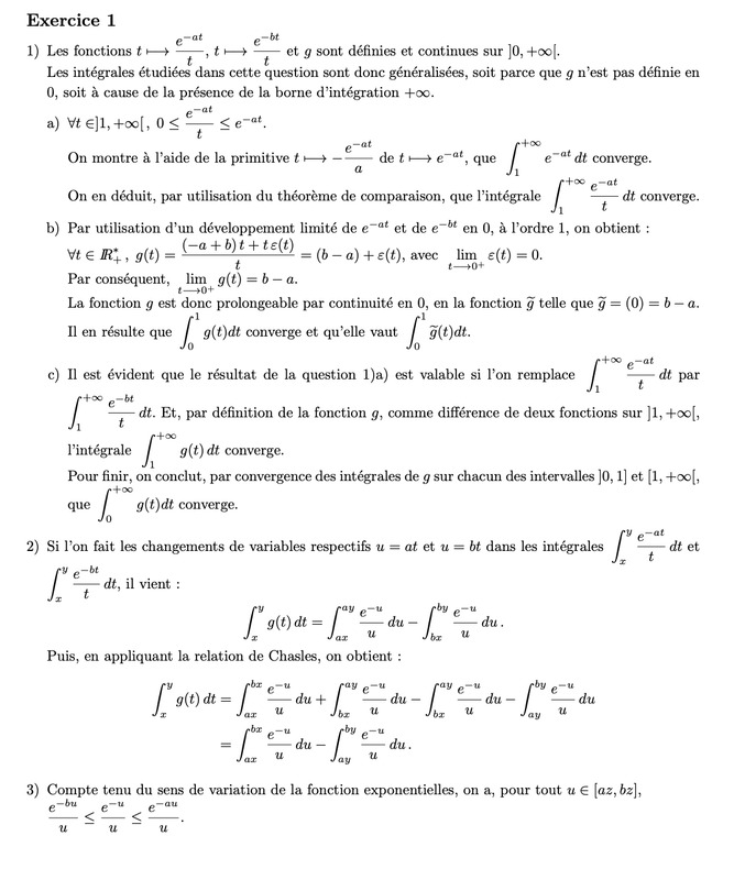
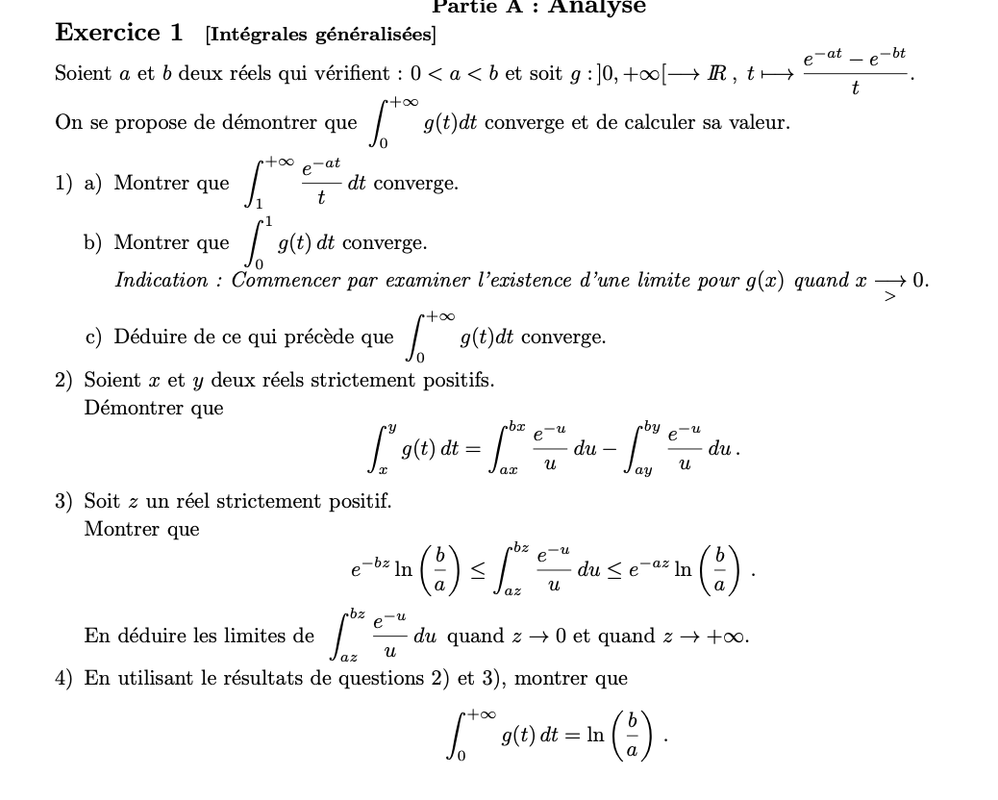
Voici le sujet : https://i.postimg.cc/VvT9CG07/1.png
Et voici la correction : https://i.postimg.cc/59kST0Kw/2.png et https://i.postimg.cc/MKMmSSgg/3.png.
C'est la question 3 de l'exercice qui me pose un soucis. Est-ce que quelqu'un pourrait me détailler, m'expliquer les étapes s'il vous plait? :cote:

Merci beaucoup!!



Rdvn
Habitué(e)
Messages: 843
Enregistré le: 05 Sep 2018, 11:55

Re: Exercice sur les intégrales généralisées.

par Rdvn » 25 Nov 2020, 11:23

Bonjour
Il y a une erreur à la dernière ligne du premier corrigé , c'est (sur [az,bz] )

(e^-bz)/u <ou= ( e^-u)/u <ou= (e^-az)/u

on intègre cette inégalité de az à bz , sachant az<bz
Bon courage

pascal16
Membre Légendaire
Messages: 6663
Enregistré le: 01 Mar 2017, 12:58
Localisation: Angoulème : Ville de la BD et du FFA. gare TGV

Re: Exercice sur les intégrales généralisées.

par pascal16 » 25 Nov 2020, 11:32

pour le 3 : dans les "qui s'écrit encore" est-ce qu'on a le droit de sortir exp(-bu) de l'intégrale quand u est la variable d'intégration ???

Rdvn
Habitué(e)
Messages: 843
Enregistré le: 05 Sep 2018, 11:55

Re: Exercice sur les intégrales généralisées.

par Rdvn » 25 Nov 2020, 12:34

Bonjour
Je pense que l'auteur du corrigé est resté "hypnotisé" par sa première erreur
(celle que j'avais signalée), il "sort" (à tort) e-bu en "voulant" e^-az et e^-bz (ce qui est correct)

celiine11
Membre Naturel
Messages: 41
Enregistré le: 01 Oct 2019, 20:57

Re: Exercice sur les intégrales généralisées.

par celiine11 » 25 Nov 2020, 14:09

Merci, c'est pour cela que je ne comprenais pas !!!
Voici ce que j'ai fais donc pour la question 3 qui me semble beaucoup plus facile et correcte avec les changements. https://i.postimg.cc/bJn163hG/correction.png

Merci beaucoup.

Rdvn
Habitué(e)
Messages: 843
Enregistré le: 05 Sep 2018, 11:55

Re: Exercice sur les intégrales généralisées.

par Rdvn » 25 Nov 2020, 15:22

En gros ça va (écrivez plus grand en pensant aux personnes dont la vue baisse !)
Cependant :

inégalités : l'argument pour la deuxième est 1/u>0 sur [az,bz]
et non u|-->1/u croissante

Pour les intégrales le "bon ordre" est un peu trop vague :
Justification de l'existence des intégrales par la continuité des fonctions intégrées
Pour tout u de [az,bz] ...l'inégalité établie
Et donc, sachant az<bz ...

Bon courage

 

Retourner vers ✯✎ Supérieur

Qui est en ligne

Utilisateurs parcourant ce forum : Aucun utilisateur enregistré et 37 invités

Tu pars déja ?



Fais toi aider gratuitement sur Maths-forum !

Créé un compte en 1 minute et pose ta question dans le forum ;-)
Inscription gratuite

Identification

Pas encore inscrit ?

Ou identifiez-vous :

Inscription gratuite