Devoir sur sommes et produits
Réponses à toutes vos questions après le Bac (Fac, Prépa, etc.)
-
Amel
- Membre Naturel
- Messages: 12
- Enregistré le: 09 Déc 2016, 20:59
-
par Amel » 09 Déc 2016, 21:13
bonjour, Jai jn devoir maison à rendre et j'aurais besoin d'aide qqn saurait-il faire ce genre de démonstration par récurence ?
= \frac{1}{p+2}\prod_{j=0}^{p+1}{(n+j)})
-
Pseuda
- Habitué(e)
- Messages: 3222
- Enregistré le: 08 Avr 2015, 12:44
-
par Pseuda » 09 Déc 2016, 21:53
Bonsoir,
Je te suggère d'expliciter les formules avec des .... . Cela permet d'y voir beaucoup plus clair. Ensuite, la récurrence sur n est très facile.
-
Sake
- Habitué(e)
- Messages: 1392
- Enregistré le: 17 Juil 2014, 21:32
-
par Sake » 09 Déc 2016, 22:19
Salut,
Il faut, pour montrer cette égalité pour tout n et pour tout p, démontrer l'égalité pour tout n en fixant p, et pour tout p en fixant n. Il s'agit donc dans le plus long des cas d'une démonstration en deux récurrences.
Comme l'a dit Pseuda, la récurrence sur n est aisée et je vais la poster ici pour mettre la machine en branle.
Reviens vers nous pour d'autres problèmes.
http://img11.hostingpics.net/pics/92052520161209222056.jpg
Modifié en dernier par
Sake le 09 Déc 2016, 22:22, modifié 1 fois.
-
Amel
- Membre Naturel
- Messages: 12
- Enregistré le: 09 Déc 2016, 20:59
-
par Amel » 09 Déc 2016, 22:21
Je vous remercie pour vos réponses et pour votre grand aide ! je comprend bien mieux à présent !!
-
Amel
- Membre Naturel
- Messages: 12
- Enregistré le: 09 Déc 2016, 20:59
-
par Amel » 09 Déc 2016, 22:29

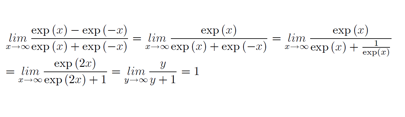
Excusez moi encore de vous déranger mais j'aimerais savoir comment trouver les limites en -infini et +infini car je sais que les limites sont -1 et 1 mais Jai beau leve l'indetermination Jai quand même du mal à sortir de la forme indéterminée
-
Sake
- Habitué(e)
- Messages: 1392
- Enregistré le: 17 Juil 2014, 21:32
-
par Sake » 09 Déc 2016, 22:31
Si ce sujet ne concerne pas, de près ou de loin, l'exercice d'avant, nous t'invitons à ouvrir un autre sujet afin de garder une certaine cohérence vis à vis du thème traité. Merci.
-
Amel
- Membre Naturel
- Messages: 12
- Enregistré le: 09 Déc 2016, 20:59
-
par Amel » 09 Déc 2016, 22:32
c'était sur le meme devoir mais dans Ce cas j'ouvre un nouveau sujet
-
Sake
- Habitué(e)
- Messages: 1392
- Enregistré le: 17 Juil 2014, 21:32
-
par Sake » 09 Déc 2016, 22:36
Pour répondre un tant soit peu à ta question néanmoins, il vient à l'esprit que le comportement en l'infini est mis en exergue si l'on réussit à faire apparaître, dans la formule, des termes qui sont très petits devant d'autres à la fois au numérateur et au dénominateur.
Une bonne façon de procéder est de factoriser par exp(x) pour une étude asymptotique en plus l'infini, et par exp(-x) en moins l'infini.
PS : Merci pour l'effort, je vais demander à un modérateur de transférer les derniers messages dans le sujet que tu créeras.
-
Amel
- Membre Naturel
- Messages: 12
- Enregistré le: 09 Déc 2016, 20:59
-
par Amel » 09 Déc 2016, 22:43
je vous remercie j'ai ouvert un forum sur le sujet
Jai essayé de factoriser par e^x je vais essayer de faire selon ce que vous m'avez dit
merci
-
Sake
- Habitué(e)
- Messages: 1392
- Enregistré le: 17 Juil 2014, 21:32
-
par Sake » 09 Déc 2016, 22:46
On continue sur l'autre sujet.
-
Amel
- Membre Naturel
- Messages: 12
- Enregistré le: 09 Déc 2016, 20:59
-
par Amel » 09 Déc 2016, 22:54
J'aurais une question sur la récurence qui A ete envoyé à la fin il y a n+p+2 et je n'ai pas compris vraiment comment on a obtenu ce résultat ?
-
Ben314
- Le Ben
- Messages: 21709
- Enregistré le: 11 Nov 2009, 21:53
-
par Ben314 » 09 Déc 2016, 23:01
Sake a écrit:Il faut, pour montrer cette égalité pour tout n et pour tout p, démontrer l'égalité pour tout n en fixant p, et pour tout p en fixant n. Il s'agit donc dans le plus long des cas (???) d'une démonstration en deux récurrences.
Euhhhhh.
Je suis pas franchement d'accord (du tout...).
Si tu as montré que :
Quelque soit p, puis quelque soit n, on a . . . C'est heureusement pas la peine de montrer ensuite que
Quelque soit n, puis quelque soit p, on a . . . Les quantificateurs "de même nature", ils commutent entre eux :
Écrire
c'est totalement la même chose que
^2\!=\!a^2\!+\!4ab\!+\!4b^2)
Bref, dans un cas pareil, il suffit de faire une récurrence sur n OU BIEN une récurrence sur p (ou bien... autre chose).
Modifié en dernier par
Ben314 le 09 Déc 2016, 23:08, modifié 3 fois.
Qui n'entend qu'un son n'entend qu'une sonnerie. Signé : Sonfucius
-
Sake
- Habitué(e)
- Messages: 1392
- Enregistré le: 17 Juil 2014, 21:32
-
par Sake » 09 Déc 2016, 23:05
Cela provient d'une manipulation sur le produit des n + j :
à n donné,
 = n\frac{1}{n+p+2} \prod_{0 \leq j \leq p+1} (n + j + 1))
-
Sake
- Habitué(e)
- Messages: 1392
- Enregistré le: 17 Juil 2014, 21:32
-
par Sake » 09 Déc 2016, 23:07
C'est vrai.
-
Amel
- Membre Naturel
- Messages: 12
- Enregistré le: 09 Déc 2016, 20:59
-
par Amel » 09 Déc 2016, 23:12
J'ai un peu de mal à comprendre mais je pense avoir cerné le principal merci à vous.
-
algharib
- Membre Naturel
- Messages: 42
- Enregistré le: 24 Jan 2014, 10:33
-
par algharib » 09 Déc 2016, 23:19
-
Amel
- Membre Naturel
- Messages: 12
- Enregistré le: 09 Déc 2016, 20:59
-
par Amel » 09 Déc 2016, 23:20
je vous remercie
-
zygomatique
- Habitué(e)
- Messages: 6928
- Enregistré le: 20 Mar 2014, 12:31
-
par zygomatique » 09 Déc 2016, 23:33
salut
pour tout p :
 = \sum_1^n \dfrac {(p + k)!}{(k - 1)!} = \dfrac 1 {p + 2} \prod_{j = 0}^{p + 1} (n + j) = \dfrac 1 {p + 2} \dfrac {(n + p + 1)!}{(n - 1)!})
donc
 = \sum_1^n \dfrac {(p + k)!}{(k - 1)!} + \dfrac {(p + n + 1)!}{n!} = \dfrac {(p + n + 1)!}{n!} \Big(\dfrac n {p + 2} + 1 \Big) = \dfrac 1 {p + 2} \dfrac {(n + p + 2)!}{n!} = \\ \\ \dfrac 1 {p + 2} \prod_0^{p + 1} (n + 1 + k))
donc la propriété est héréditaire ... en fonction de n ...

Ce qui est affirmé sans preuve peut être nié sans preuve. EUCLIDE
-
Ben314
- Le Ben
- Messages: 21709
- Enregistré le: 11 Nov 2009, 21:53
-
par Ben314 » 09 Déc 2016, 23:59
Tant qu'à faire d'utiliser des factorielles, on peut même continuer dans la foulée et utiliser des coefficients binomiaux :
Pour tout

et

,
 = \sum_{k=1}^n \dfrac {(p\! +\! k)!}{(k\! -\! 1)!} = (p\!+\!1)!\sum_{k=1}^n {p+k \choose p+1}= (p\!+\!1)!\sum_{j=p+1}^{p+n} {j\choose p+1})
Ce qui correspond à la somme des termes d'un "morceau" de colonne sur le triangle de pascal et c'est connu comme le loup blanc que ça vaut le coeff. binomial "en dessous à droite" du terme du bas de la colonne (la preuve par récurrence se fait de tête en utilisant la formule additive qui permet de construire le triangle de pascal).
Donc
! {p+n+1\choose p+2}=\dfrac{(p\!+\!n\!+\!1)!}{(p\!+\!2)(n\!-\!1)!})
Qui n'entend qu'un son n'entend qu'une sonnerie. Signé : Sonfucius
-
Amel
- Membre Naturel
- Messages: 12
- Enregistré le: 09 Déc 2016, 20:59
-
par Amel » 10 Déc 2016, 00:49
Merci de votre aide
Utilisateurs parcourant ce forum : Aucun utilisateur enregistré et 57 invités