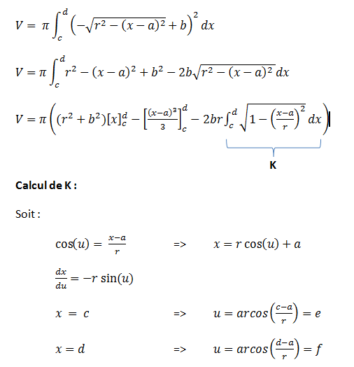
Dans le cadre d'un projet, j'ai besoin de calculer l'intégrale suivante :
J'ai fait un premier calcul, mais le résultat ne correspond pas à celui calculé de façon discrète. Ce qui pose problème est lors du développement du carré la partie en racine qui reste.
Cela vous semble-t-il calculable?
(Je posterai ce soir les calculs que j'ai fait)
Merci
