Puissances et opérations
Réponses à toutes vos questions du CP à la 3ème
-
Even33
- Membre Naturel
- Messages: 73
- Enregistré le: 03 Jan 2017, 00:11
-
par Even33 » 05 Jan 2017, 10:44
Bonjour, j'aurais quelques questions.
1)
Quand vous avez 5x10° cela correspond à 5x1 donc 5 ou directement à 1 (ce qui éliminerait le 5) ?
4x10 (au carré) / 5x10° = 0,8x10 (au carré) - 0
donc 0,8x10 (au carré)
C'est ça ?
2) 210,15 / 3x10 (puissance -1)
donne 70,05 x 10
ou
70,05 x 10 (puissance -1)
Normalement en division de puissance ou soustrait mais là, en haut il n'y en a pas...
?
Merci
Sapere Aude
-
siger
- Membre Complexe
- Messages: 2705
- Enregistré le: 16 Fév 2013, 19:56
-
par siger » 05 Jan 2017, 11:39
bonjour
a(puissance n) s'ecrit plus simplement a^n
par definition
a°=1
d'ou 5°=1
5*10°= 5*1=5
210.15/3*10^(-1)
on multiplie haut et bas par 10^1
(210.15)*10^1/(3*10^-1)*10^1 = (210.15)*10^1/3 = 750.05*10
rappel
a^(-n) = 1/(a^n)
-
Even33
- Membre Naturel
- Messages: 73
- Enregistré le: 03 Jan 2017, 00:11
-
par Even33 » 05 Jan 2017, 20:31
Merci beaucoup.
Pour le 5, merci, c'est ok.
Par contre, je ne comprends pas bien pourquoi on passe de ^10-1 à puissance 10.
Le 1/an explique-t-il cela ?
Sapere Aude
-
laetidom
- Habitué(e)
- Messages: 5720
- Enregistré le: 16 Déc 2013, 16:15
-
par laetidom » 05 Jan 2017, 20:49
Even33 a écrit:Merci beaucoup.
Pour le 5, merci, c'est ok.
Par contre, je ne comprends pas bien pourquoi on passe de ^10-1 à puissance 10.
Le 1/an explique-t-il cela ?
Bonsoir,
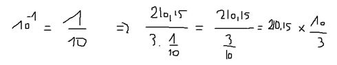
Diviser = multiplier par l'inverse :

- 91.JPG (13.3 Kio) Vu 296 fois
-
Even33
- Membre Naturel
- Messages: 73
- Enregistré le: 03 Jan 2017, 00:11
-
par Even33 » 05 Jan 2017, 20:51
Oh super !!!
Ca me débloque des tas de trucs !!!
Merci pour tout

Sapere Aude
-
laetidom
- Habitué(e)
- Messages: 5720
- Enregistré le: 16 Déc 2013, 16:15
-
par laetidom » 05 Jan 2017, 20:54
Even33 a écrit:Oh super !!!
Ca me débloque des tas de trucs !!!
Merci pour tout

On en est très très content ! ! ! Bonne soirée et @+ sur le forum !
Utilisateurs parcourant ce forum : Aucun utilisateur enregistré et 20 invités