Domaine de définition
Réponses à toutes vos questions après le Bac (Fac, Prépa, etc.)
-
morpheux10
- Messages: 2
- Enregistré le: 14 Nov 2016, 20:31
-
par morpheux10 » 14 Nov 2016, 20:40
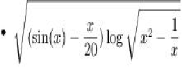
je voudrais savoir le domaine de définition de cette equation
- Fichiers joints
-

- Sans titre.png (7.57 Kio) Vu 367 fois
-
anthony_unac
- Habitué(e)
- Messages: 1116
- Enregistré le: 29 Juin 2007, 23:31
-
par anthony_unac » 14 Nov 2016, 21:06
Bonsoir,
Il s'agit d'une expression et non pas d'une équation (il n'y a pas de signe égal)
Si vous cherchez à étudier la fonction qui à tout x associe cette expression alors il y a plusieurs contraintes :
1/ x est différent de zéro
2/ les deux radicandes se doivent d'être positif ou éventuellement nuls
-
zygomatique
- Habitué(e)
- Messages: 6928
- Enregistré le: 20 Mar 2014, 12:31
-
par zygomatique » 15 Nov 2016, 16:07
salut
2/ les deux radicandes se doivent d'être positif ou éventuellement nuls
0 est trivialement positif ...
Ce qui est affirmé sans preuve peut être nié sans preuve. EUCLIDE
-
Quarkbleu
- Messages: 3
- Enregistré le: 17 Nov 2016, 17:05
-
par Quarkbleu » 17 Nov 2016, 17:40
Bonjour,
Je suppose que nous parlons du domaine de définition sur R et non pas sur C, auquel cas la réponse serait très différente. On peut poser plusieurs iméquations grâce à l'expression de départ afin de trouver les valeurs permises de x.
Notes :
/= : différent de
>= : plus grand ou égal
(...) : élément de l'expression qui permet de poser cette inéquation
x /= 0 (division par zéro impossible)
x^2 - 1/x > 0 (racine carrée d'une expression positive, log de zéro impossible)
(sin(x)-x/20)*log(...) >= 0 (racine carrée d'une expression positive)
J'espère que cela aide,
B
Utilisateurs parcourant ce forum : Aucun utilisateur enregistré et 60 invités