Points critiques
Réponses à toutes vos questions après le Bac (Fac, Prépa, etc.)
-
Apockalipso
- Membre Naturel
- Messages: 12
- Enregistré le: 11 Nov 2018, 14:48
-
par Apockalipso » 20 Nov 2018, 18:58
Bonsoir à tous!
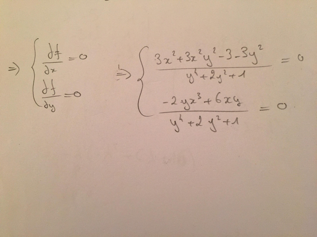
Voici l'endroit où je bloque sur mon calcul des points critiques:

Je ne sais pas ce que je dois faire, dois-je passer le dénominateur de l'autre coté?
Merci de votre aide!
Guillaume
Modifié en dernier par
Apockalipso le 20 Nov 2018, 20:23, modifié 1 fois.
-
aviateur
par aviateur » 20 Nov 2018, 19:00
Bsr La deuxième équation se résout facilement, et tu remplaces ensuite ds la première
Heu j'ai pas bien compris ? a/b=0 implique a=0 ....
-
Apockalipso
- Membre Naturel
- Messages: 12
- Enregistré le: 11 Nov 2018, 14:48
-
par Apockalipso » 20 Nov 2018, 19:03
\frac{df}{dy} se résout facilement ?
Petite erreur de ma part désolé

-
Ben314
- Le Ben
- Messages: 21709
- Enregistré le: 11 Nov 2009, 21:53
-
par Ben314 » 20 Nov 2018, 19:56
Salut,
De toute façon, que ce soit la première ou la deuxième, même prises individuellement, elles se résolvent on ne peut plus facilement vu qu'il y a une factorisation évidente.
Et si tu t'y était pas pris comme un benêt pour calculer les dérivées partielles de ton
\!=\!\dfrac{x(x^2\!-\!3)}{y^2+1})
, ben ça aurait été encore plus évident.
Qui n'entend qu'un son n'entend qu'une sonnerie. Signé : Sonfucius
-
Apockalipso
- Membre Naturel
- Messages: 12
- Enregistré le: 11 Nov 2018, 14:48
-
par Apockalipso » 20 Nov 2018, 20:18
Wow, désolé d'être un "benêt" (ce que je ne vous permet pas de me qualifier) mais je ne suis pas en étude supérieure Maths, c'est la première fois que je fais ce type d'exercice, j'y ai passé 15min en cours sur un simple exemple. Donc difficile de s'improviser mathématicien quand on ne l'est pas. Si j'étais un "benêt" je ne pense pas que j'aurais passé plus de 10h sur un simple devoir, ou j'ai essayé de tout faire par moi même et je vous aurez envoyé tout simplement mon devoir sans un seul effort de ma part. Être sur un forum d'aide en maths et recevoir ce genre de commentaire, et très peu utile.
Bonne soirée à vous et merci de votre SI Utile Ben

-
pascal16
- Membre Légendaire
- Messages: 6663
- Enregistré le: 01 Mar 2017, 12:58
- Localisation: Angoulème : Ville de la BD et du FFA. gare TGV
-
par pascal16 » 20 Nov 2018, 20:38
si tu as la fonction f(x,y), on peut vérifier si elle est bonne (ça ne me semble pas être celle donnée par Ben qui a du corriger une interro surprise de définition de cours).
avec les x² et y², ça doit faire 4 points critiques
-
Apockalipso
- Membre Naturel
- Messages: 12
- Enregistré le: 11 Nov 2018, 14:48
-
par Apockalipso » 20 Nov 2018, 20:40
La fonction donnée par Ben est bien bonne mais elle est présentée sous cette forme : f(x,y) = (x^3-3x)/(1+y²)
Après, peut être que le calcul de mes dérivées partielles ne sont pas les plus optimales, mais c'est ce que j'ai pensé le plus pertinent de mon point de vue
-
pascal16
- Membre Légendaire
- Messages: 6663
- Enregistré le: 01 Mar 2017, 12:58
- Localisation: Angoulème : Ville de la BD et du FFA. gare TGV
-
par pascal16 » 20 Nov 2018, 20:59
Vu qu'on cherche où une dérivée s'annule, on essaie de garder les factorisations
f(x,y) = (x^3-3x)/(1+y²)
pour df/dx, (1+y²) est une constante
df/dx = (3x^2-3)/(1+y²)
s'annule pour x=-1 ou x=1
pour df/dy, (x^3-3x) est une constante, f est de la forme 1/u
d/dy=(x^3-3x) *(-2y)/(1+y²)²
quand x vaut 1, s'annule pour y=0
quand x vaut -1, s'annule pour y=0
soit 2 points critiques
pour g non nul
f/g=0<=> f=0, ne pas oublier de retirer valeurs interdites retirées, on analyse des fonctions.
-
Apockalipso
- Membre Naturel
- Messages: 12
- Enregistré le: 11 Nov 2018, 14:48
-
par Apockalipso » 20 Nov 2018, 21:04
Du coup mes dérivées partielles étaient erronées ?
En tout cas merci beaucoup pour votre aide !
-
Sa Majesté
- Membre Transcendant
- Messages: 6275
- Enregistré le: 23 Nov 2007, 14:00
-
par Sa Majesté » 20 Nov 2018, 21:31
Salut
Tes dérivées sont bonnes mais pas calculées de façon optimale, c'est le moins qu'on puisse dire.
Ça ne fait pas de toi un benêt (Ben y va parfois un peu fort).
Tu as dérivé avec la formule (u/v)'=(u'v-uv')/v²
En fait, quand tu dérives
\!=\!\dfrac{x(x^2\!-\!3)}{y^2+1})
par rapport à x, le dénominateur est constant. Donc il faut utiliser (ku)'=ku' avec

-
Apockalipso
- Membre Naturel
- Messages: 12
- Enregistré le: 11 Nov 2018, 14:48
-
par Apockalipso » 20 Nov 2018, 21:38
D'accord, merci beaucoup pour cette réponse ! Je viens de comprendre. (ku)' m'était totalement passé à côté.
Encore merci de votre aide !
Guillaume
Utilisateurs parcourant ce forum : Aucun utilisateur enregistré et 48 invités