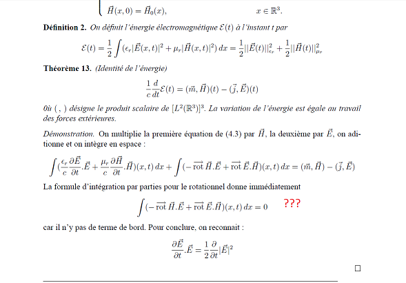
Lors d'une démonstration d'un théorème sur l'énergie d'un système Maxwell dans le PROGRAMME D’APPROFONDISSEMENT SCIENCES DE L’INGÉNIEUR, SIMULATION ET MODÉLISATION d'Isabelle Terrasse et Toufic Abboud, je ne connaissais pas et je n'ai pas trouvé de IPP sur le rotationnel.
Quelqu'un aurait compris l'astuce avec le rotationnel?
Merci
Eusebe78

