Bonsoir;
Pour mieux appréhender cette notion, voici un exemple.
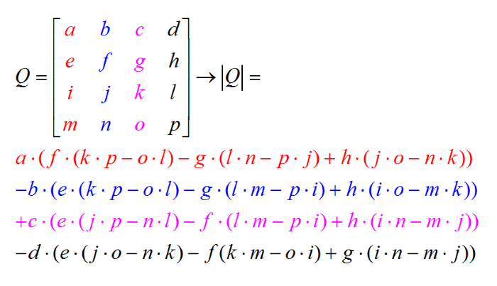
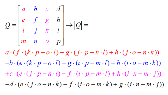
Si on a

et qu'on veut le développer par rapport à la première ligne,
Notons

,

et

,
donc
^{1+1} a \Delta_a + (-1)^{1+2} b \Delta_b + (-1)^{1+3} c \Delta_c = a \Delta_a - b \Delta_b + c \Delta_c)
= a (e i - f h) - b (d i - f g) + c (d h - e g)
à noter que (-1)^{1+1} est pour la première ligne par rapport à laquelle on développe et la première colonne.
(-1)^{1+2} est pour la première ligne par rapport à laquelle on développe et la deuxième colonne.
(-1)^{1+3} est pour la première ligne par rapport à laquelle on développe et la troisième colonne.
J'espère que ça vous aideras un peu.