Calcul du maximum de vraisemblance
Réponses à toutes vos questions après le Bac (Fac, Prépa, etc.)
-
Rio16
- Membre Naturel
- Messages: 10
- Enregistré le: 03 Aoû 2016, 09:19
-
par Rio16 » 25 Avr 2017, 09:59
Bonjour la communauté,
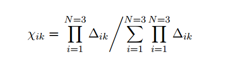
Je souhaite calculer la fonction du maximum de vraisemblance, je suis tombé sur un article qui décrit comment le faire, sauf que, d'après l'expression que vous trouverez en pièce jointe, le résultat est toujours égal à un tiers (1/3), y a t'il une erreur dans cette expression (sachant que k est un indice temporel) ??
Merci !
- Fichiers joints
-

- wtf.png (5.42 Kio) Vu 603 fois
-
pascal16
- Membre Légendaire
- Messages: 6663
- Enregistré le: 01 Mar 2017, 12:58
- Localisation: Angoulème : Ville de la BD et du FFA. gare TGV
-
par pascal16 » 25 Avr 2017, 14:16
elle vaut toujours 1/3 et elle est mal écrite.
i est à la fois à gauche une constante et à droite une variable.
Sur des base de wikipedia, le calcul du maximum de vraisemblance dépend de la loi étudiée. D'ailleurs je n'ai pas vu de différence par rapport à un estimateur.
-
Rio16
- Membre Naturel
- Messages: 10
- Enregistré le: 03 Aoû 2016, 09:19
-
par Rio16 » 25 Avr 2017, 14:53
Merci Pascal pour la confirmation.
Au fait, voyant ça sur un mémoire de thèse, j'avais pas le courage de me prononcé (ça fait presque 9 ans que je n'ai pas fais de maths), mais il y a pire sur un article dans un journal huppé (voir PJ)
- Fichiers joints
-

- wtf2.png (8.96 Kio) Vu 578 fois
Utilisateurs parcourant ce forum : Aucun utilisateur enregistré et 24 invités