Domaine de définition
Discussion générale entre passionnés et amateurs de mathématiques sur des sujets mathématiques variés
-
morpheux10
- Messages: 2
- Enregistré le: 14 Nov 2016, 20:31
-
par morpheux10 » 14 Nov 2016, 20:58
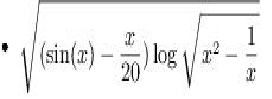
je voudrais savoir le domaine de définition de cette equation
- Fichiers joints
-

- Sans titre.png (7.57 Kio) Vu 493 fois
-
XENSECP
- Habitué(e)
- Messages: 6387
- Enregistré le: 27 Fév 2008, 19:13
-
par XENSECP » 14 Nov 2016, 22:44
Tu veux dire:
 \log{\left(\sqrt{x^2-\frac{1}{x}\right)}})
?
Il y a la racine déjà:
(x^2+x+1)}{x} > 0)
Donc x > 1.
A voir les valeurs dans le log ensuite...
Utilisateurs parcourant ce forum : Aucun utilisateur enregistré et 2 invités