Bonjour,
J'ai un petit problème de compréhension de cette démonstration. Est ce que quelqu'un pourrait m'expliquer les étapes intermédiaires?
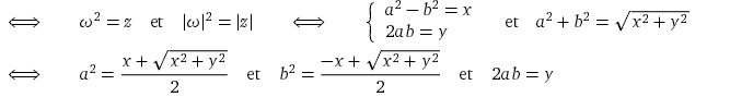
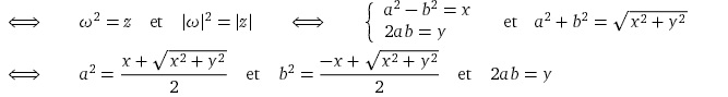
L'image est réduite, il est donc bon de préciser que: w = ai + b et z = x + iy.
Je ne comprends notamment pas le a² - b² = x et le 2ab = y.
Merci pour votre aide. J'en profite pour remercier toutes les personnes qui m'ont aidé dans mes mille et une question. C'est une chance d'avoir un forum comme celui ci..
