DERIVE INTEGRALE
Réponses à toutes vos questions après le Bac (Fac, Prépa, etc.)
-
Noooook
- Messages: 2
- Enregistré le: 09 Mai 2016, 19:40
-
par Noooook » 09 Mai 2016, 19:48
Bonjour,
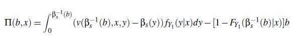
Pourriez vous m'aider à dériver par b cette intégrale SVP (cf. fichier joint).
MERCI !
- Fichiers joints
-

- intégrale.JPG (13.87 Kio) Vu 484 fois
-
Pythales
- Habitué(e)
- Messages: 1162
- Enregistré le: 05 Déc 2005, 14:54
-
par Pythales » 10 Mai 2016, 15:30
Si
alors
}^{v(t)}\frac d{dt}f(x,t)dx+f(v(t),t)\frac{dv}{dt}-f(u(t),t)\frac{du}{dt})
-
Noooook
- Messages: 2
- Enregistré le: 09 Mai 2016, 19:40
-
par Noooook » 16 Mai 2016, 13:28
Bonjour,
Merci !
Pourriez vous m'apporter davantage de détails concernant le calcul svp. J'ai essayé avec votre formule en vain...
Utilisateurs parcourant ce forum : Aucun utilisateur enregistré et 41 invités