Depuis ce matin, je cale sur un exercice incluant des polynômes...
Il me semble que c'est vraiment facile mais je ne comprends pas ce qu'il m'arrive
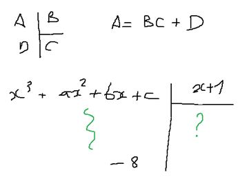
Une des indications pour trouver les coefficient du polynôme en question est:
"Le reste de la division de p(x) par (x+1) est -8"
où P(x) = x³ +ax² + bx+c
Dans la résolution que l'on a fait en classe, on l'interprète comme ça:
P(-1) = -8
Mais je ne comprends pas comment on peut affirmer ça ?
Merci pour votre aide et bonne journée !
(Examen de math demain...)
