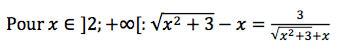
Voilà j'ai un DM pour la rentrée, qui porte sur les expressions algébriques. J'ai presque fini ce DM mais il y a un énoncé où je bloque complètement, le voici :
"Montrer que l'égalité suivante est vérifiée pour tout réel en choisissant la méthode la plus adaptée "
J'ai beau chercher, je ne trouve pas la solution
Est ce que quelqu'un aurait l'amabilité de m'aider, de m'orienter vers la solution?J'attends vos réponses les matheux

