Bonsoir, je suis sur un projet d'étude et je suis confronté à devoir résoudre un système de deux équations à deux inconnues. Seulement je pense que trouver une solution analytique serait le mieux mais très compliqué. J'ai vraiment besoin de résoudre ce système. Il existe peut-être des résolutions numériques qui tente d'approcher les solutions. Mais je ne vois pas trop comment. Je peux peut-être utiliser le logiciel matlab mais je ne le connais pas très bien.
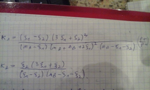
Equation :
Avec epsilon 1 et 2 les inconnues, le reste des paramètres.
Merci de votre aide !
