Aide devoir maison - Asymptote horizontale / oblique
Réponses à toutes vos questions après le Bac (Fac, Prépa, etc.)
-
brucee
- Messages: 5
- Enregistré le: 02 Nov 2016, 15:29
-
par brucee » 09 Déc 2016, 17:56
Bonjour,
J'ai besoin d'aide pour mon devoir maison. J'ai réussis la première question, où j'ai trouver R après calcul du discriminant. Seulement je bloques pour la question 2 et 3, pourriez-vous m'aider ?
Merci d'avance

- 15424514_1369303829748347_1849512406_n.jpg (68.99 Kio) Vu 405 fois
-
Ben314
- Le Ben
- Messages: 21709
- Enregistré le: 11 Nov 2009, 21:53
-
par Ben314 » 09 Déc 2016, 18:29
Salut,
Pour le 2), factorise x dans toute l'expression puis utilise l'indication.
Pour le 3), idem.
Qui n'entend qu'un son n'entend qu'une sonnerie. Signé : Sonfucius
-
brucee
- Messages: 5
- Enregistré le: 02 Nov 2016, 15:29
-
par brucee » 09 Déc 2016, 18:47

- 15424655_1369373059741424_1664405892_n.jpg (84.89 Kio) Vu 388 fois
Comme ça ?
-
laetidom
- Habitué(e)
- Messages: 5720
- Enregistré le: 16 Déc 2013, 16:15
-
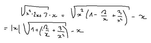
par laetidom » 10 Déc 2016, 14:20
Bonjour brucee,
Moi j'ai trouvé plutôt ceci :

- 123.JPG (16.77 Kio) Vu 357 fois
puis je ferais 2 cas (x>0 et x<0), factoriserais par x pour obtenir l'expression sous la forme demandée . . . pour obtenir u et ainsi tu sais que ça vaut

. . .
Utilisateurs parcourant ce forum : Aucun utilisateur enregistré et 80 invités