Voila, j'ai un problème que je n'arrive pas encore a resoudre tout seul. Je suis en premiere annee de prepa maths, et ce petit exercice porte sur la convergence d'une serie, avec un parametre et des factorielles.
Est-ce que vous pourriez m'aider s'il vous plait ??
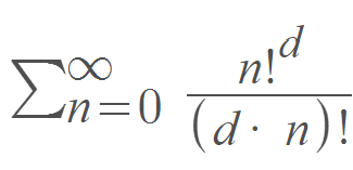
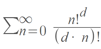
Je joins la serie irresolvable
Pour quelles valeurs entieres de d>1 la serie converge-t-elle ?
Au fait, j'ai essaye avec le critere de d'Alembert, de simplifier les factorielles et avec
