Équation de Forchheimer
Réponses à toutes vos questions après le Bac (Fac, Prépa, etc.)
-
bouka
- Messages: 3
- Enregistré le: 21 Fév 2016, 09:54
-
par bouka » 21 Fév 2016, 09:59
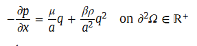
je veux la résolution de cette équation différentielle
en utilisons des méthodes analytiques et non pas numériques
SVP c'est urgent


-
Robot
par Robot » 21 Fév 2016, 10:24
Et pour moi ça sera un petit café. Et rapidement parce que je n'aime pas attendre.
-
JaCQZz
par JaCQZz » 21 Fév 2016, 10:46
Mais q, c'est quoi, une constante ? Auquel cas, tu as une simple dérivée d'ordre 1 en Xc. Allez, aux cafés du coin !
-
bouka
- Messages: 3
- Enregistré le: 21 Fév 2016, 09:54
-
par bouka » 21 Fév 2016, 10:57
JaCQZz a écrit:Mais q, c'est quoi, une constante ? Auquel cas, tu as une simple dérivée d'ordre 1 en Xc. Allez, aux cafés du coin !
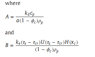
le B est une fonction de H(Xc)
-
bouka
- Messages: 3
- Enregistré le: 21 Fév 2016, 09:54
-
par bouka » 21 Fév 2016, 11:09
Robot a écrit:Et pour moi ça sera un petit café. Et rapidement parce que je n'aime pas attendre.

Utilisateurs parcourant ce forum : Aucun utilisateur enregistré et 36 invités