2 résultats trouvés
Revenir à la recherche avancée
Salut,
Merci pour la réponse.
Effectivement, on peut prouver par plusieurs méthodes -dont la plus simple et directe étant la tienne- que la série converge.
Mais je cherche justement à calculer (autrement que par un programme informatique) la valeur de convergence.
Merci.
- par kartagos
- 04 Juil 2006, 16:51
-
- Forum: ✯✎ Supérieur
- Sujet: [série] Convergence
- Réponses: 4
- Vues: 611
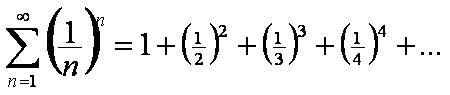
Bonjour à tous,
Tout simplement, je suis intéressé par la convergence de la série suivante :

Merci pour votre aide.
- par kartagos
- 04 Juil 2006, 16:36
-
- Forum: ✯✎ Supérieur
- Sujet: [série] Convergence
- Réponses: 4
- Vues: 611