Fonction x+1/x
Réponses à toutes vos questions de la 2nde à la Terminale toutes séries
-
Cr4zyStriker
- Membre Naturel
- Messages: 18
- Enregistré le: 06 Sep 2017, 15:34
-
par Cr4zyStriker » 15 Nov 2017, 18:23
Bonjour, j'ai un exercice de dm à faire mais je ne comprends rien. Il est en pièce jointe.
J’espère que vous pourrez m'aider.
Merci d'avance.
- Fichiers joints
-

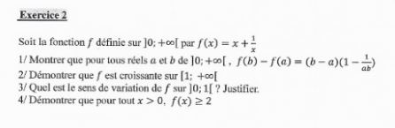
- Exercice
- Capture Exo2.JPG (16.81 Kio) Vu 282 fois
-
pascal16
- Membre Légendaire
- Messages: 6663
- Enregistré le: 01 Mar 2017, 12:58
- Localisation: Angoulème : Ville de la BD et du FFA. gare TGV
-
par pascal16 » 15 Nov 2017, 20:19
qu'as-tu fait ?
f(a)=a-1/a par exemple
-
Cr4zyStriker
- Membre Naturel
- Messages: 18
- Enregistré le: 06 Sep 2017, 15:34
-
par Cr4zyStriker » 15 Nov 2017, 21:12
Ce que j'ai fait dans le cours ?
Si tu parles de l'exo; je comprends même pas la consigne.
Utilisateurs parcourant ce forum : Aucun utilisateur enregistré et 32 invités