DM de math : fonction, graphique, equation et égalité
Réponses à toutes vos questions de la 2nde à la Terminale toutes séries
-
Nyster
- Membre Naturel
- Messages: 11
- Enregistré le: 25 Sep 2016, 14:20
-
par Nyster » 25 Sep 2016, 15:04
[img]Bonjour, J'ai un DM a rendre pour lundi a mon prof de math. donc j'explique ma situation je viens de passer une heure a essayer de comprendre chaque exercice mais rien à comprendre et en cours le prof va a une vitesse que personne ne comprend son cours et donc voilà dernière étape c'est le mettre sur un forum en esperant que j'aurais de bonnes aides !

Merci d'avance
- Fichiers joints
-

- Screenshot_10.png (180.17 Kio) Vu 746 fois
-

- Screenshot_6.png (173.78 Kio) Vu 773 fois
-

- Screenshot_3.png (187.33 Kio) Vu 773 fois
Modifié en dernier par
Nyster le 25 Sep 2016, 15:32, modifié 1 fois.
-
laetidom
- Habitué(e)
- Messages: 5720
- Enregistré le: 16 Déc 2013, 16:15
-
par laetidom » 25 Sep 2016, 15:18
Bonjour Nyster,
C'est long et difficile à relire . . . et en plus tu ne montre aucun travail perso . . . penses-tu que quelqu'un va passer des heures un dimanche après-midi si tu ne nous aides pas un peu plus ? . . .
-
Nyster
- Membre Naturel
- Messages: 11
- Enregistré le: 25 Sep 2016, 14:20
-
par Nyster » 25 Sep 2016, 15:21
qu'est-ce qui est difficile a relire ?
-
laetidom
- Habitué(e)
- Messages: 5720
- Enregistré le: 16 Déc 2013, 16:15
-
par laetidom » 25 Sep 2016, 15:23
Nyster a écrit:qu'est-ce qui est difficile a relire ?
Tes pièces jointes en les grossissant (roulette souris) deviennent floues . . . (photos prises dans la pénombre)
-
Nyster
- Membre Naturel
- Messages: 11
- Enregistré le: 25 Sep 2016, 14:20
-
par Nyster » 25 Sep 2016, 15:25
tu voudrais que je fasse une photo sur la premiere partie ?
-
laetidom
- Habitué(e)
- Messages: 5720
- Enregistré le: 16 Déc 2013, 16:15
-
par laetidom » 25 Sep 2016, 15:26
Nyster a écrit:tu voudrais que je fasse une photo sur la premiere partie ?
On est prêt à t'aider mais si le texte nécessite de prendre des loupes ! . . .ça ne va pas le faire . . .
-
Nyster
- Membre Naturel
- Messages: 11
- Enregistré le: 25 Sep 2016, 14:20
-
par Nyster » 25 Sep 2016, 15:33
la nouvelle photo doit être meilleur je suppose ?
-
laetidom
- Habitué(e)
- Messages: 5720
- Enregistré le: 16 Déc 2013, 16:15
-
par laetidom » 25 Sep 2016, 15:39
C'est mieux mais ça ne vaut pas un bon scan ! ! ! Regarde les PJ de certains autres élèves et tu verra la différence !
Je peux t'aider pour l'ex 2 :
Pour toi, quel est le Df ?
-
Nyster
- Membre Naturel
- Messages: 11
- Enregistré le: 25 Sep 2016, 14:20
-
par Nyster » 25 Sep 2016, 15:41
Je vais pas te mentir moi même je ne comprends pas ce qui est demandé de faire.
-
laetidom
- Habitué(e)
- Messages: 5720
- Enregistré le: 16 Déc 2013, 16:15
-
par laetidom » 25 Sep 2016, 15:46
Nyster a écrit:Je vais pas te mentir moi même je ne comprends pas ce qui est demandé de faire.
On te demande simplement de déterminer les valeurs interdites en mathématiques ! C'est le Domaine de Définition !
Notamment, en maths, il est interdit de diviser par 0 ! et là on te donne des fractions !
Ca veut dire que chaque dénominateur doit être différent de zéro, donc . . .
-
Lostounet
- Membre Légendaire
- Messages: 9665
- Enregistré le: 16 Mai 2009, 11:00
-
par Lostounet » 25 Sep 2016, 15:47
Bonjour,
Il est facile dans la vie de baisser les bras. Mais le plus dur et le plus admirable c'est d'essayer et de faire face aux difficultés: tu as un DM que tu ne comprends pas, et alors? Moi aussi j'ai des DM que je comprends pas. Mais je refuse de rester dans l'incompréhension. Dans la vie aussi il y aura des situations difficiles où on ne sait pas où on va.
Il faut attaquer le problème de front et essayer! Prends un exo, le plus abordable. Genre le 2: cherche la signification de 'domaine de définition' si tu ne sais pas ce que c'est. Sois autonome.
On peut t'aider mais il faut que tu sois déjà en train de te battre
Merci de ne pas m'envoyer de messages privés pour répondre à des questions mathématiques ou pour supprimer votre compte.
-
laetidom
- Habitué(e)
- Messages: 5720
- Enregistré le: 16 Déc 2013, 16:15
-
par laetidom » 25 Sep 2016, 15:50
Et oui, comme le dit Lostounet, on est tous passés par là, on tombe plusieurs fois mais on se relève, on retombe, on se re-relève, . . . , et seulement au bout du chemin on récolte les fruits !, de son travail, nous on est que la béquille, c'est toi qui doit marcher sur le chemin, TON chemin . . .
-
laetidom
- Habitué(e)
- Messages: 5720
- Enregistré le: 16 Déc 2013, 16:15
-
par laetidom » 25 Sep 2016, 15:52
Que sait-tu à propos d'une racine carré ? Son Df . . . ?
-
Nyster
- Membre Naturel
- Messages: 11
- Enregistré le: 25 Sep 2016, 14:20
-
par Nyster » 25 Sep 2016, 15:59
laetidom a écrit: Nyster a écrit:Je vais pas te mentir moi même je ne comprends pas ce qui est demandé de faire.
On te demande simplement de déterminer les valeurs interdites en mathématiques ! C'est le Domaine de Définition !
Notamment, en maths, il est interdit de diviser par 0 ! et là on te donne des fractions !
Ca veut dire que chaque dénominateur doit être différent de zéro, donc . . .
il y a la racine carré au negatif aussi et en gros je dois résumer que la division par 0 et racine carré au negatif sont impossible a calculer
-
laetidom
- Habitué(e)
- Messages: 5720
- Enregistré le: 16 Déc 2013, 16:15
-
par laetidom » 25 Sep 2016, 16:03
j'imagine que c'est ce tu voulais dire :

- ii8200.JPG (28.27 Kio) Vu 703 fois
Donc
Df = . . . ? ?
-
Nyster
- Membre Naturel
- Messages: 11
- Enregistré le: 25 Sep 2016, 14:20
-
par Nyster » 25 Sep 2016, 16:13
dans la definition de la fonction f je dois dire que les calculs n'ont pas de valeurs interdite dans ce cas ?
-
laetidom
- Habitué(e)
- Messages: 5720
- Enregistré le: 16 Déc 2013, 16:15
-
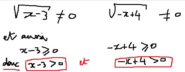
par laetidom » 25 Sep 2016, 16:18
Nyster a écrit:dans la definition de la fonction f je dois dire que les calculs n'ont pas de valeurs interdite dans ce cas ?
Non, tu vois bien qu'il y a des valeurs interdites car on a :
x-3>0 ET -x+4>0
Sais-tu résumer ces 2 inéquations pour obtenir le Df ?
-
Nyster
- Membre Naturel
- Messages: 11
- Enregistré le: 25 Sep 2016, 14:20
-
par Nyster » 25 Sep 2016, 16:20
comment dois-je resumer ces 2 inequation ?
-
laetidom
- Habitué(e)
- Messages: 5720
- Enregistré le: 16 Déc 2013, 16:15
-
par laetidom » 25 Sep 2016, 16:21
Nyster a écrit:comment dois-je resumer ces 2 inequation ?
Je te fais un schéma ( cliquer dessus pour le voir en entier) pour bien comprendre . . . :

- ii8300.JPG (47.85 Kio) Vu 684 fois
Donc comment écris-tu Df . . . ?
-
Nyster
- Membre Naturel
- Messages: 11
- Enregistré le: 25 Sep 2016, 14:20
-
par Nyster » 25 Sep 2016, 16:33
]3;4[ = 3<x<4 = df ?
Utilisateurs parcourant ce forum : Aucun utilisateur enregistré et 64 invités