Je suis actuellement bloquée à l'exercice suivant
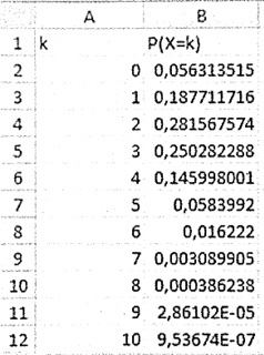
Voici l'énoncé : On dispose du calcul des valeurs de P(X = k), pour X suivant une loi binomiale, de paramètres n et p, avec n = 10.
1) A l'aide de la table, déterminer P(X 3). je ne vois pas comment faire
2) Calculer E(X), en déduire la valeur de p.je sais que E(X)= pi*xi, je l'ai fait et j'ai trouvé 2,5 mais je ne vois pas comment déduire la valeur de p, quece que p?

Voilà, merci.
