équation homogène trigonométrique
Réponses à toutes vos questions de la 2nde à la Terminale toutes séries
-
Mathovh
- Messages: 8
- Enregistré le: 27 Juin 2017, 18:04
-
par Mathovh » 01 Juil 2017, 14:44
Salut !
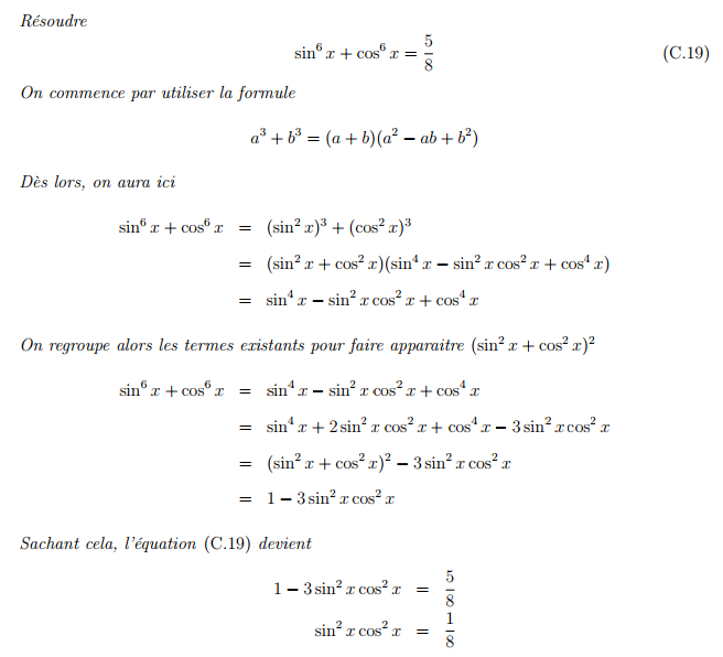
Concernant cette question :

Si je comprends bien, pour former une équation homogène nous avons multiplier le rang de droite par (cos²x+sin²x)^3. Mais en faisant ça, nous ne cassons pas l'égalité ?
-
Arbre
par Arbre » 01 Juil 2017, 15:22
Bonjour,
(cos(x))^2+(sin(x))^2=1, non ?
Donc rien de casser ici.
-
Mathovh
- Messages: 8
- Enregistré le: 27 Juin 2017, 18:04
-
par Mathovh » 01 Juil 2017, 15:42
Ah d'accord c'est plus clair, merci !

-
Arbre
par Arbre » 01 Juil 2017, 15:43
Avec plaisir.
-
Pisigma
- Habitué(e)
- Messages: 3134
- Enregistré le: 21 Déc 2014, 23:38
-
par Pisigma » 01 Juil 2017, 18:25
Bonjour,
ce n'est pas l'objet de la question mais on pouvait aussi procéder ainsi:

(sin ^4 x -sin ^2 x~ cos^2 x+cos^4 x)=\dfrac{7}{16})
et en tenant compte de:

,


...
-
Mathovh
- Messages: 8
- Enregistré le: 27 Juin 2017, 18:04
-
par Mathovh » 01 Juil 2017, 19:02
En effet, je viens de tomber sur un exercice résolu de cette manière, et je suis venu poser ma question !

à partir de l'étape 2, je n'arrive pas à passer de la première à la deuxième égalité. Y'a-t-il une quelconque identité qui est utilisée ?
Merci !
-
Pisigma
- Habitué(e)
- Messages: 3134
- Enregistré le: 21 Déc 2014, 23:38
-
par Pisigma » 01 Juil 2017, 19:08
ton étape 2 c'est quelle ligne?
-
Mathovh
- Messages: 8
- Enregistré le: 27 Juin 2017, 18:04
-
par Mathovh » 02 Juil 2017, 14:30

D'ici à ici pour être exact

J'en profite pour poser une deuxième question, au lieu d'en faire un deuxième post :

Pourquoi dit-on que le sinus > 0 ?
Voici l'équation de départ :

Merci encore

-
Pisigma
- Habitué(e)
- Messages: 3134
- Enregistré le: 21 Déc 2014, 23:38
-
par Pisigma » 02 Juil 2017, 17:53
Utilisateurs parcourant ce forum : Aucun utilisateur enregistré et 95 invités