Aidez moi !!!!!
Réponses à toutes vos questions de la 2nde à la Terminale toutes séries
-
simo_yassine
- Membre Naturel
- Messages: 22
- Enregistré le: 27 Aoû 2012, 12:03
-
par simo_yassine » 03 Oct 2012, 21:19
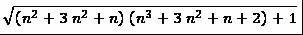
n est un nombre entier naturel
prouve que

est un nombre entier naturel
-
zermel0
- Membre Naturel
- Messages: 55
- Enregistré le: 19 Aoû 2012, 22:08
-
par zermel0 » 03 Oct 2012, 21:46
Pose A = n^3 + 3n² + n....
Tu devrais t'en sortir maintenant, sans problème :)
-
simo_yassine
- Membre Naturel
- Messages: 22
- Enregistré le: 27 Aoû 2012, 12:03
-
par simo_yassine » 03 Oct 2012, 21:56
zermel0 a écrit:Pose A = n^3 + 3n² + n....
Tu devrais t'en sortir maintenant, sans problème

mais comment l'utiliser?
-
zermel0
- Membre Naturel
- Messages: 55
- Enregistré le: 19 Aoû 2012, 22:08
-
par zermel0 » 03 Oct 2012, 21:58
Tu remplaces tous les "n^3 + 3n² + n" que tu vois par A
-
simo_yassine
- Membre Naturel
- Messages: 22
- Enregistré le: 27 Aoû 2012, 12:03
-
par simo_yassine » 03 Oct 2012, 21:59
zermel0 a écrit:Tu remplaces tous les "n^3 + 3n² + n" que tu vois par A
il y a une seul
ça donne (4n^2+n)(A+2)
-
beagle
- Habitué(e)
- Messages: 8746
- Enregistré le: 08 Sep 2009, 14:14
-
par beagle » 03 Oct 2012, 22:05
tu veux avoir un carré sous la racine,
donc tu veux que
(...)(...) + 1 = B^2
soit
(...)(...) = B^2-1
donc si tu arrives à faire:
(... +1)(...-1) = B^2-1
c'est gagné!
L'important est de savoir quoi faire lorsqu'il n' y a rien à faire.
-
beagle
- Habitué(e)
- Messages: 8746
- Enregistré le: 08 Sep 2009, 14:14
-
par beagle » 03 Oct 2012, 22:06
t'as une gourrance sur le premier n qui est n^3 dans le premier facteur.
L'important est de savoir quoi faire lorsqu'il n' y a rien à faire.
-
zermel0
- Membre Naturel
- Messages: 55
- Enregistré le: 19 Aoû 2012, 22:08
-
par zermel0 » 03 Oct 2012, 22:07
Yassine, tu as mal remplacé, remplace vraiment bêtement "n^3 + 3n² + n" par A dans ta formule !
Beagle, attention, s'il te plait, ne l'embrouille pas avec un autre A qui n'a à priori pas de lien avec le mien, il aurait fallu une autre notation. Et je trouve ta méthode plus compliquée...
-
beagle
- Habitué(e)
- Messages: 8746
- Enregistré le: 08 Sep 2009, 14:14
-
par beagle » 03 Oct 2012, 22:13
scuses zermel0,
j'ai changé ce A inoportun comme mon intervention.
et effectivement ta méthode est supérieure lorsque yassine l'aura faite.
Mais aura-t-il compris d'où vient ta méthode pour la reproduire dans un nouvel exercice dans 6 mois?
L'important est de savoir quoi faire lorsqu'il n' y a rien à faire.
-
zermel0
- Membre Naturel
- Messages: 55
- Enregistré le: 19 Aoû 2012, 22:08
-
par zermel0 » 03 Oct 2012, 22:17
Renommer des facteurs communs en une lettre c'est classique non ?
Personnellement quand je donnais des cours aux secondes c'est comme ça que je faisais avec les plus en difficulté :
(x²-1)² + 2(x²-1) + 1
On posait M = x² - 1 et on continuait avec M.
Bon c'était sur justement des exemple comme Yassine a pu mettre...
-
beagle
- Habitué(e)
- Messages: 8746
- Enregistré le: 08 Sep 2009, 14:14
-
par beagle » 03 Oct 2012, 22:43
zermel0 a écrit:Renommer des facteurs communs en une lettre c'est classique non ?
Personnellement quand je donnais des cours aux secondes c'est comme ça que je faisais avec les plus en difficulté :
(x²-1)² + 2(x²-1) + 1
On posait M = x² - 1 et on continuait avec M.
Bon c'était sur justement des exemple comme Yassine a pu mettre...
Tu as tout à fait raison.
Maintenant, la méthode que j'ai mise est accessible niveau collège, identités remarquables.
Cela me semble plus facile que de voir le changement de variable .
Mais scuses d'avoir surrépondu.
L'important est de savoir quoi faire lorsqu'il n' y a rien à faire.
-
zermel0
- Membre Naturel
- Messages: 55
- Enregistré le: 19 Aoû 2012, 22:08
-
par zermel0 » 03 Oct 2012, 22:50
Nan mais c'est bien de donner d'autres méthodes, parfois ya des élèves qui comprendront une méthode et pas l'autre... Donc autant diversifier :)
Utilisateurs parcourant ce forum : Aucun utilisateur enregistré et 90 invités