Determiner les coordonnées des points A, B, C, I, J et K
Réponses à toutes vos questions de la 2nde à la Terminale toutes séries
-
Fujitsu
- Messages: 2
- Enregistré le: 01 Mai 2017, 13:05
-
par Fujitsu » 01 Mai 2017, 13:30
ON veut montre que dans un triangle quelconque ABC, les 3 médianes sont concourantes.
Voir un image dans le fichier joint.
On se place dans le repère (A; B; C)
Déterminer les coordonnées des points A, B, C, I, J et K ?
A (0;0)
B (1;0)
C (0;1)
I ((0+1)/2;(01)/2
J (0;1/2)
K (1/2;0)
Est-ce-que c'est bon ?
Merci d'avance
F.
- Fichiers joints
-
![20170501_141558[2].jpg 20170501_141558[2].jpg](./download/file.php?id=2775)
- 20170501_141558[2].jpg (22.31 Kio) Vu 818 fois
-
zygomatique
- Habitué(e)
- Messages: 6928
- Enregistré le: 20 Mar 2014, 12:31
-
par zygomatique » 01 Mai 2017, 14:10
oui ...
Ce qui est affirmé sans preuve peut être nié sans preuve. EUCLIDE
-
siger
- Membre Complexe
- Messages: 2705
- Enregistré le: 16 Fév 2013, 19:56
-
par siger » 01 Mai 2017, 14:12
bonjour
exact
a condition que l'on se place dans le repaire (A;AB;AC)
et que I,J,K soient les milieux respectifs de BC,AC,AB
....
ensuite
calculer les equations des droites AI, BK, CJ
calculer les coordonnees du point P intersection de AI,BK par exemple
verifier que les coordonnees de P verifient l'equation de CJ ( P est sur CJ)
-
Fujitsu
- Messages: 2
- Enregistré le: 01 Mai 2017, 13:05
-
par Fujitsu » 01 Mai 2017, 15:04
Merci pour ta réponse rapide,
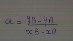
Deuxième question : Déterminer les équations des 3 médianes du triangles ABC ?
ça veut dire qu'il faut calculer des droites AI, BJ et CK, le formulaire est : (voir image)
CK=(1-0)/(1-0)=1, ou je suis trompe, peut-être je n'ai pas compris.
- Fichiers joints
-

- 20170501_155639.jpg (9.16 Kio) Vu 801 fois
-
zygomatique
- Habitué(e)
- Messages: 6928
- Enregistré le: 20 Mar 2014, 12:31
-
par zygomatique » 01 Mai 2017, 15:56
oui ...
Ce qui est affirmé sans preuve peut être nié sans preuve. EUCLIDE
Utilisateurs parcourant ce forum : Aucun utilisateur enregistré et 84 invités