Bonjour,
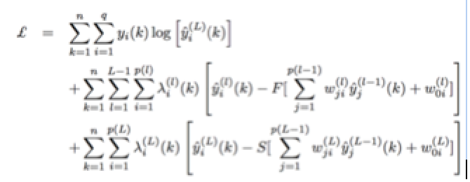
J'essaye de comprendre le développement pour arriver à l'une des dérivées partielles d'un Lagrangien (associé à la fonction de coût d'un artificial neural network pour les connaisseurs).
Si vous saviez me lancer des pistes pour développement de la réponse (qui se trouve en annexe).
D'avance merci.
ps: le premier document correspond au lagrangien, le second la réponse d'une des dérivées partielles.
ps2: j'espère que c'est lisible!
