4 résultats trouvés
Revenir à la recherche avancée
Merci !!!!
Cette fois c'est clair. Cela m'aura permis de revoir plus avant l'algèbre avec les racines carrées. Il est dommage que les corrections dans mon manuel ne soient pas aussi détaillées que celle que vous m'avez proposée.
Merci encore !
Je vais de ce pas visiter votre blog de maths.
- par Eric32
- 04 Mar 2014, 17:36
-
- Forum: ✎✎ Lycée
- Sujet: Algèbre
- Réponses: 7
- Vues: 388
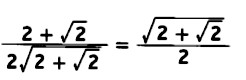
J'ai honte mais cette fois c'est
le résultat du calcul de l'expression conjuguée que je ne comprends pas :

Merci de bien vouloir m'aider encore un peu.
- par Eric32
- 04 Mar 2014, 17:16
-
- Forum: ✎✎ Lycée
- Sujet: Algèbre
- Réponses: 7
- Vues: 388
Merci beaucoup !!!!! Cette fois j'ai compris le passage :

Merci encore pour votre aide.
- par Eric32
- 04 Mar 2014, 16:23
-
- Forum: ✎✎ Lycée
- Sujet: Algèbre
- Réponses: 7
- Vues: 388
Bonjour, pourriez-vous m'aider à comprendre le passage permettant de supprimer la racine de 2 + racine de 2 au dénominateur. Je sais faire quand il s'agit d'une racine simple ou un nombre + une racine (expression conjuguée). Mais là, la racine de la racine je ne comprends pas la correction de mon li...
- par Eric32
- 04 Mar 2014, 15:51
-
- Forum: ✎✎ Lycée
- Sujet: Algèbre
- Réponses: 7
- Vues: 388