bonsoir,
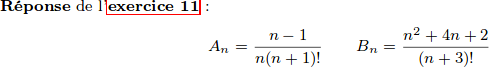
tout d'abord voici l'exercice en question :
il me semble que le résultat est faux pour bn ? Ai je raison ? (pour An je trouve pareil )
Pour bn je trouve après avoir recommence le calcul plusieurs fois :
Bn= ( n^3 + 5n² +5n ) / n*(n+3)!
soit Bn= n(n²+5n+5)/n*(n+3)!
soit Bn= n[n+5+(5/n) ] /(n+3)!
l'autre question c'est : le sujet demande a factoriser or la correction est developpé ... pour que ce soit dit factorisé il faut que le resultat soit sous la forme d'un produit ? Est ce bien ca? la correction m'a fait douter...
merci d'avance

