Bonjour Hanaconda,
L'objectif de cet exercice est d'approcher le nombre

par un autre nombre, avec une certaine précision. Cela signifie qu'on veut trouver un nombre y, tel que la distance entre y et ce nombre

soit ... "convenable". La distance entre deux réels a et b n'est autre que la valeur absolue de leur différence (|a-b|), c'est-à-dire que l'on veut trouver y tel que la distance entre y et

avec une marge d'erreur (incertitude: cela signifie que l'écart entre ces deux nombres peut effectivement être plus petit que cette marge) de

donc tel que:
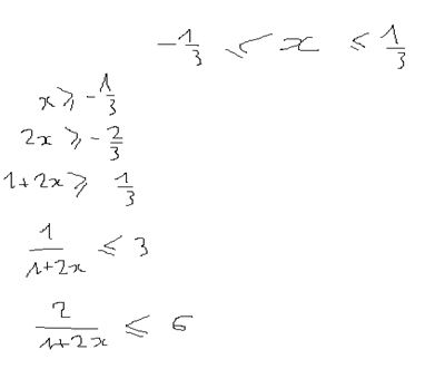
Or partant de l'encadrement obtenu à la fin de l'exercice,
Hanaconda a écrit:
On constate que si l'on prend x = 0.2 (qui n'est autre que 2/10, et x est bien dans l'intervalle [-1/3,1/3] de travail) nous obtenons 1 + x = 1.2
1 + 2x = 1.4
-1 + x = -1 + 0.2 = 0.8 = 4/5 (c'est le nombre
y)
On a donc:
^2)
En écrivant le membre de droite de cette inégalité en notation scientifique, nous obtenons le résultat.
En vérité, nous pouvons calculer l'écart exact entre ces deux nombres:
1.2/1.4 - 4/5 = 12/14 - 4/5 = 6/7 - 4/5 = 2/35
Fort heureusement, on constate que l'écart réel de 2/35 ~ 0.057 est inférieur à 2.4/10 = 0.24 (nous avions trouvé l'erreur maximale commise de 0.24 mais l'écart exact est moindre)