Fractions niveau 4 eme
Réponses à toutes vos questions du CP à la 3ème
-
misslola
- Membre Relatif
- Messages: 157
- Enregistré le: 25 Sep 2016, 13:53
-
par misslola » 25 Sep 2016, 14:47
Bonjour, je suis une élève de la classe passerelle qui est une classe de remise à niveau après le bac mais j'ai un devoir maison sur des bases de la quatrième. J'aimerai que vous m'aidiez svp.
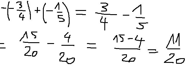
Il faut que je trouve le résultat de cette fraction: - -3/4 + -1/5 , j'ai fait ce calcul :
- -3/4 + -1/5 = -3*5/4*5 + -1*4 / 5*4 = - -15 /20 + -4/20 mais je ne sais pas si mon résultat doit être positif ou négatif car les deux moins avant le 3 me perturbe.
J'ai aussi d'autres fractions qui me pose problème:
la consigne est : simplifier puis calculer
A= 4/7 * 2/3 B= 7*4/11 C= - -2/-3 * (- -3/-7) D= 3/-4 * 8 / -7
Je ne sais pas comment je dois simplifier ces fractions.
J'attends vos réponses et vos explications. Merci d'avance. Bonne journée.
-
laetidom
- Habitué(e)
- Messages: 5720
- Enregistré le: 16 Déc 2013, 16:15
-
par laetidom » 25 Sep 2016, 14:58
Bonjour,
- - = +
+ - = -
Ne trimbale pas tes doubles signes, traite les une fois pour toute au début.

- II8502.JPG (24.81 Kio) Vu 1034 fois
-
misslola
- Membre Relatif
- Messages: 157
- Enregistré le: 25 Sep 2016, 13:53
-
par misslola » 25 Sep 2016, 15:04
Merci beaucoup pour ta réponse qui m'a vraiment aidé . bonne journée
-
misslola
- Membre Relatif
- Messages: 157
- Enregistré le: 25 Sep 2016, 13:53
-
par misslola » 25 Sep 2016, 15:05
Peut-être que d'autres personnes seront me répondre pour les autres fractions :s
-
Lostounet
- Membre Légendaire
- Messages: 9665
- Enregistré le: 16 Mai 2009, 11:00
-
par Lostounet » 25 Sep 2016, 15:12
Et si tu essayais un peu de ta part?
On n'apprend pas en regardant les autre faire, mais en mettant la main à la pâte.
Et on te dira si c'est bon ou pas
Merci de ne pas m'envoyer de messages privés pour répondre à des questions mathématiques ou pour supprimer votre compte.
-
mouette 22
- Habitué(e)
- Messages: 2827
- Enregistré le: 06 Fév 2008, 11:38
-
par mouette 22 » 25 Sep 2016, 15:19
hé misslola si tu faisais un petit effort ? sinon comment progresseras tu ?
Prête à t'aider . Simplifie les signes avant d'effectuer .
-
misslola
- Membre Relatif
- Messages: 157
- Enregistré le: 25 Sep 2016, 13:53
-
par misslola » 25 Sep 2016, 15:27
Moi je pense multiplier directement les fractions mais la consigne dit qu'il faut les simplifier avant de calculer :s J'écris ce que j'aurai fait et j'attends ton avis. Je suis totalement d'accord avec toi j'apprends moi en effectuant le calcul .
A= 4/2 * 2/3 = 8 /21 par contre je crois que je ne peux pas la simplifier :s
B= 7 * 4/11 = 7/1 * 4/11 = 28/11 je ne peux pas simplifier non plus
C= - -2/ -3 * ( - -3/ -7) = 2/ -3 * 3 / -7 = 6 / -21 divisé par 3 = 2 / 7
D= 3/ -4 * 8 / -7 = 24 / -28 divisé par 4 = 6 / -7
Qu'est ce que tu en penses, moi je n'ai pas l'impression d'avoir répondu correctement à la consigne ?
-
Lostounet
- Membre Légendaire
- Messages: 9665
- Enregistré le: 16 Mai 2009, 11:00
-
par Lostounet » 25 Sep 2016, 15:30
Salut,
Pour la B) c'est correct et on ne peut simplifier davantage.
Pour la A) relis-toi car 2*3 font ... 6 !
Pour la C) presque mais il y a une erreur de signe
Pour la D) aussi erreur de signe (la même: quand tu as le produit de nombres négatifs, cela donne un nombre positif)
Merci de ne pas m'envoyer de messages privés pour répondre à des questions mathématiques ou pour supprimer votre compte.
-
misslola
- Membre Relatif
- Messages: 157
- Enregistré le: 25 Sep 2016, 13:53
-
par misslola » 25 Sep 2016, 15:35
Merci beaucoup . oups pourtant je connais mes tables :') ah d'accord merci j'hésite toujours quand il y a deux signes négatifs.
-
Lostounet
- Membre Légendaire
- Messages: 9665
- Enregistré le: 16 Mai 2009, 11:00
-
par Lostounet » 25 Sep 2016, 15:40
Tu vois suffit juste d'essayer...
Quand on manipule forcément on fait des erreurs ou on a des lapsus. Mais à terme c'est tellement mieux et plus constructif que lire un corrigé etc
Pour progresser j'essaye de faire des mon mieux même je n'y arrive pas du premier coup et ça marche!
Merci de ne pas m'envoyer de messages privés pour répondre à des questions mathématiques ou pour supprimer votre compte.
-
misslola
- Membre Relatif
- Messages: 157
- Enregistré le: 25 Sep 2016, 13:53
-
par misslola » 25 Sep 2016, 19:54
Tu as entièrement raison il faudrait juste que j'arrête d'avoir peur que l'on me juge pour mes fautes à l'avenir j'essaierai par moi-même mais j'avais déjà essayé avant de poster ma question merci à toi
Utilisateurs parcourant ce forum : Aucun utilisateur enregistré et 30 invités